剑指offer_ 矩形覆盖
我们可以用 2*1 的小矩形横着或者竖着去覆盖更大的矩形。请问用 n 个 2*1 的小矩形无重叠地覆盖一个 2*n 的大矩 形,总共有多少种方法?
解题思路,当n为1时,只有一种覆盖方法,当n为2时有两种覆盖方法
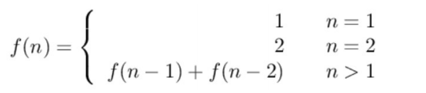
要覆盖 2*n 的大矩形,可以先覆盖 2*1 的矩形,再覆盖 2*(n-1) 的矩形;或者先覆盖 2*2 的矩形,再覆盖 2*(n-2) 的矩形。而覆盖 2*(n-1) 和 2*(n-2) 的矩形可以看成子问题。该问题的递推公式如下:

显而易见,我们可以采用递归或循环
首先是递归
1 public class Solution { 2 public int RectCover(int n) { 3 if(n<=2) return n; 4 return RectCover(n-1)+RectCover(n-2); 5 } 6 }
算法简单但是运算速度和效率慢
再看看循环的方法
1 public int RectCover(int n) { 2 if (n <= 2) 3 return n; 4 int pre2 = 1, pre1 = 2; 5 int result = 0; 6 for (int i = 3; i <= n; i++) { 7 result = pre2 + pre1; 8 pre2 = pre1; 9 pre1 = result; 10 } 11 return result; 12 }
这题主要要想到递推式就很容易解决了

浙公网安备 33010602011771号