剑指 Offer 36. 二叉搜索树与双向链表
题目描述
输入一棵二叉搜索树,将该二叉搜索树转换成一个排序的循环双向链表。
要求不能创建任何新的节点,只能调整树中节点指针的指向。
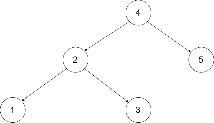
为了让您更好地理解问题,以下面的二叉搜索树为例:

我们希望将这个二叉搜索树转化为双向循环链表。链表中的每个节点都有一个前驱和后继指针。对于双向循环链表,第一个节点的前驱是最后一个节点,最后一个节点的后继是第一个节点。
下图展示了上面的二叉搜索树转化成的链表。“head” 表示指向链表中有最小元素的节点。

特别地,我们希望可以就地完成转换操作。当转化完成以后,树中节点的左指针需要指向前驱,树中节点的右指针需要指向后继。还需要返回链表中的第一个节点的指针。
来源:力扣(LeetCode)
链接:https://leetcode-cn.com/problems/er-cha-sou-suo-shu-yu-shuang-xiang-lian-biao-lcof
著作权归领扣网络所有。商业转载请联系官方授权,非商业转载请注明出处。
分析
本文解法基于性质:二叉搜索树的中序遍历为 递增序列 。
将 二叉搜索树 转换成一个 “排序的循环双向链表” ,其中包含三个要素:
排序链表: 节点应从小到大排序,因此应使用 中序遍历 “从小到大”访问树的节点。
双向链表: 在构建相邻节点的引用关系时,设前驱节点 pre 和当前节点 cur ,不仅应构建 pre.right = cur ,也应构建 cur.left = pre 。
循环链表: 设链表头节点 head 和尾节点 tail ,则应构建 head.left = tail 和 tail.right = head 。
排序只要利用二叉搜索树的中序遍历就可以完成,主要的步骤在于在递归时将节点之间用指针连接起来。
所以,算法的流程大致如下:
-
$dfs(cur)$: 递归法中序遍历;
终止条件: 当节点 cur 为空,代表越过叶节点,直接返回;
递归左子树,即 $dfs(cur.left) $;
构建链表:
当 pre 为空时: 代表正在访问链表头节点,记为 head ;
当 pre 不为空时: 修改双向节点引用,即 $pre.right = cur $,$ cur.left = pre $;
保存 cur : 更新 pre = cur ,即节点 cur 是后继节点的 pre ;
递归右子树,即 $dfs(cur.right) $; -
$treeToDoublyList(root)$:
特例处理: 若节点 root 为空,则直接返回;
初始化: 空节点 pre ;
转化为双向链表: 调用 $dfs(root) $;
构建循环链表: 中序遍历完成后,head 指向头节点, pre 指向尾节点,因此修改 head 和 pre 的双向节点引用即可;
返回值: 返回链表的头节点 head 即可;
代码
class Solution {
Node pre, head;
public Node treeToDoublyList(Node root) {
if(root == null) return null;
dfs(root);
head.left = pre;
pre.right = head;
return head;
}
public void dfs(Node cur){
if(cur == null) return;
dfs(cur.left);
//当pre不为空时:将pre的右指针指向cur
if(pre != null) pre.right = cur;
//当pre为空时:代表正在访问链表头节点,记为 head
else head = cur;
cur.left = pre;
pre = cur;
dfs(cur.right);
}
}
浙公网安备 33010602011771号