二叉树
树是有限个(n>0)元素组成的集合。
树中每个结点拥有的孩子结点的个数称为该结点的度,度为0的结点为叶子结点或终端结点。树的度是树中结点的度的最大值。在有序树中,孩子结点沿用左边大、右边小的原则。
二叉树是有限个(n>=0)结点的集合。可以为空,或者有一个结点作为根结点,其他结点分成左右两个互不相交的子集作为二叉树的左右子集。
从形式上看二叉树似乎是每个结点最多有两个孩子的树,但实际上,二叉树和树是两种完全不同的结构。树是实际存在的结构类型,而二叉树不是一棵特殊的树,更多的作为一种工具。二叉树中结点数可以为0,而树不可以为0;二叉树的左右孩子要明确的指出是右还是左。
遍历:之所以叫前序、中序、后序遍历,是因为根节点在前、中、后。

对于上面的二叉树,我们遍历有:
前序:F,B,A,D,C,E,G,I,H
中序:A,B,C,D,E,F,G,H,I
后序:A,C,E,D,B,H,I,G,F
删除节点时,删除过程按照后序遍历的顺序。删除一个节点时,先删除它的左节点和右节点,再删除节点本身。
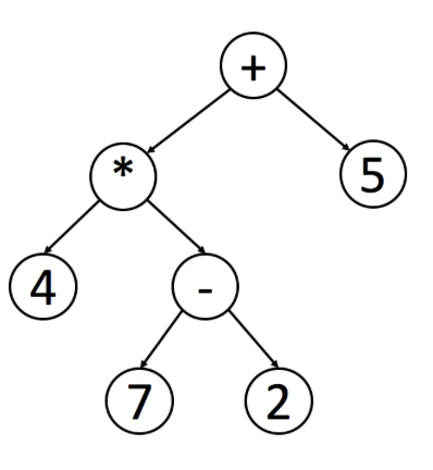
后序遍历在数学表达式中应用广泛。

通过中序遍历,我们可以得到原式:4*(7-2)+5。但程序表达在处理时中序遍历并不容易,因为要区分优先级。我们可以通过后序遍历,使用栈来处理表达式。每遇到一个操作符,就从栈顶弹出两个元素,计算并将结果返回到栈中。
A.前序遍历
方法一:递归。
定义preorder(root)表示当前遍历到root节点的答案,首先将root节点的值输入答案,再调用preorder(root->left)来遍历左子树,preorder(root->right)来遍历右子树。
class Solution{
public:
void preorder(TreeNode *root,vector<int> &res){
if(root==nullptr) return;
res.push_back(root->val);
preorder(root->left,res);
preorder(root->right,res);
}
vector<int> preorderTraversal(TreeNode *root){
vector<int> res;
preorder(root,res);
return res;
}
};
方法二:迭代
与递归不同的是,需要显示地将栈模拟出来,即给出入栈和出栈的部分。
class Solution{
public:
//注意这里TreeNode后面*的位置,是与递归方法不一样的
vector<int> preorderTraversal(TreeNode* root){
vector<int> res;
if(root==nullptr){
return res;
}
stack<TreeNode*> stk;
TreeNode* node =root;
while(!stk.empty()||node!=nullptr){
while(node!=nullptr){
res.emplace_back(node->val);
stk.emplace(node);
node=node->left;
}
node=stk.top();
stk.pop();
node=node->right;
}
return res;
}
};

浙公网安备 33010602011771号