网络延迟时间
题目
有 n 个网络节点,标记为 1 到 n。
给你一个列表 times,表示信号经过 有向 边的传递时间。 times[i] = (ui, vi, wi),其中 ui 是源节点,vi 是目标节点, wi 是一个信号从源节点传递到目标节点的时间。
现在,从某个节点 K 发出一个信号。需要多久才能使所有节点都收到信号?如果不能使所有节点收到信号,返回 -1 。
示例 1:

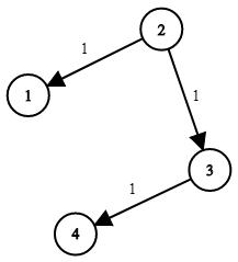
输入:times = [[2,1,1],[2,3,1],[3,4,1]], n = 4, k = 2
输出:2
示例 2:
输入:times = [[1,2,1]], n = 2, k = 1
输出:1
示例 3:
输入:times = [[1,2,1]], n = 2, k = 2
输出:-1
提示:
1 <= k <= n <= 100
1 <= times.length <= 6000
times[i].length == 3
1 <= ui, vi <= n
ui != vi
0 <= wi <= 100
所有 (ui, vi) 对都 互不相同(即,不含重复边)
思路:
一开始是想着用回溯探索的方式去做的,但是会超时,所以用dijstra算法实现
代码
#define dijkstra
#ifdef huisu
class Solution {
private:
//前面的拓扑排序用的是图的邻接表,两者虽然都是二维矩阵,但是意义是不一样的
vector<vector<int>> graph;
int nsize;//表示的是graph实际用得到的大小
//int timenode[101] = {INT_MAX};//有误,不能这么初始化,这样都变成0了
int timenode[101];
private:
void dfs(int k, vector<bool>& used, int time) {
//遍历的时候有可能很多次遍历到,但是记录最小的一次时间
timenode[k] = min(timenode[k], time);
for(int i = 1; i <= nsize; i++) {
if(graph[k][i] != INT_MAX && used[i] == false) {
used[i] = true;
dfs(i, used, time + graph[k][i]);
used[i] = false;
}
}
}
public:
int networkDelayTime(vector<vector<int>>& times, int n, int k) {
//初始化所有的元素都是无穷大,初始化实际用到的大小
graph = vector<vector<int>>(101, vector<int>(101, INT_MAX));
nsize = n;
for(int i = 0; i < 101; i++) {
timenode[i] = INT_MAX;
}
//将times存进邻接矩阵
for(auto it : times) {
graph[it[0]][it[1]] = it[2];
}
//从k点开始遍历,这个点标记为已经使用过了
//used用于树枝去重
vector<bool> used = vector<bool>(101, false);
used[k] = true;
dfs(k, used, 0);
int ans = -1;
for(int i = 1; i <= n; i++) {
if(timenode[i] == INT_MAX) {
return -1;
}else {
cout << timenode[i] << " ";
ans = max(ans, timenode[i]);
}
}
return ans;
}
};
#endif
#ifdef dijkstra
class Solution {
public:
int networkDelayTime(vector<vector<int>>& times, int n, int k) {
//所有的图的题目开始之前先把图存下来,有向带权图,使用邻接矩阵
vector<vector<int>> graph(n + 1, vector<int>(n + 1, INT_MAX));
for(auto it : times) {
graph[it[0]][it[1]] = it[2];
}
//从k点到该点的距离
vector<int> dist(n + 1, INT_MAX);
dist[k] = 0;
//是否被标记
vector<bool> used(n + 1, false);
//当前循环中正在已经标记好的点
for(int k = 1; k <= n; k++) {//这里的循环仅仅代表次数
//距离k最小的点的下标
int min = INT_MAX, minj;
//在所有的没有确定标记的点中寻找距离最小的点
for(int j = 1; j <= n; j++) {
if(!used[j] && dist[j] < min){
minj = j;
min = dist[j];
}
}
used[minj] = true;
for(int i = 1; i <= n; i++) {
//用minj这个点去更新与其相邻的节点
if(graph[minj][i] != INT_MAX) {
if(dist[minj] + graph[minj][i] < dist[i]) {
dist[i] = dist[minj] + graph[minj][i];
}
}
}
}
int ans = -1;
for(int i = 1; i <= n; i++) {
ans = max(ans, dist[i]);
}
return ans == INT_MAX ? -1 : ans;
}
};
#endif

浙公网安备 33010602011771号