打家劫舍Ⅲ
题目
小偷又发现了一个新的可行窃的地区。这个地区只有一个入口,我们称之为 root 。
除了 root 之外,每栋房子有且只有一个“父“房子与之相连。一番侦察之后,聪明的小偷意识到“这个地方的所有房屋的排列类似于一棵二叉树”。 如果 两个直接相连的房子在同一天晚上被打劫 ,房屋将自动报警。
给定二叉树的 root 。返回 在不触动警报的情况下 ,小偷能够盗取的最高金额 。
示例 1:

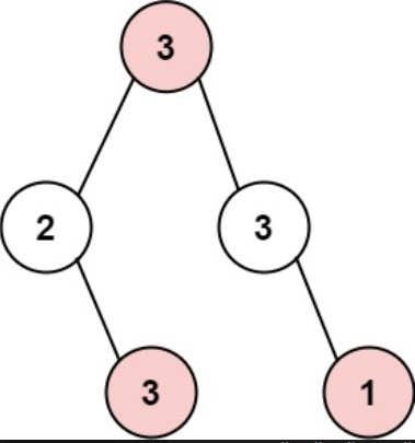
输入: root = [3,2,3,null,3,null,1]
输出: 7
解释: 小偷一晚能够盗取的最高金额 3 + 3 + 1 = 7
示例 2:

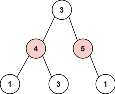
输入: root = [3,4,5,1,3,null,1]
输出: 9
解释: 小偷一晚能够盗取的最高金额 4 + 5 = 9
代码
/**
* Definition for a binary tree node.
* struct TreeNode {
* int val;
* TreeNode *left;
* TreeNode *right;
* TreeNode() : val(0), left(nullptr), right(nullptr) {}
* TreeNode(int x) : val(x), left(nullptr), right(nullptr) {}
* TreeNode(int x, TreeNode *left, TreeNode *right) : val(x), left(left), right(right) {}
* };
*/
//注意小偷可以往回走的,只要确保不要偷到相连的房间
#define baolimap
#ifdef baoli
class Solution {
public:
//使用递归的四部曲,rob函数表示传入的节点得到的最大值
//二叉树的核心就是拆分到每一个节点上去解决
int rob(TreeNode* root) {
//首先我们想到的肯定是二叉树的题目,那我们先按照二叉树来解决
if(root == nullptr) {
return 0;
}
if(root->left == NULL && root->right == NULL) {
return root->val;
}
//情况一,根节点抢的情况
int rootrobval = root->val;
//因为小偷可以往回走,所以是+的关系
if(root->left) rootrobval += rob(root->left->right) + rob(root->left->left);
if(root->right) rootrobval += rob(root->right->left) + rob(root->right->right);
//情况二,根节点不抢的情况
int rootNrobval = rob(root->left) + rob(root->right);
return max(rootNrobval, rootrobval);
}
};
#endif
#ifdef baolimap
class Solution {
public:
unordered_map<TreeNode*, int> umap;
int rob(TreeNode* root) {
if(root == nullptr) {
return 0;
}
if(root->left == NULL && root->right == NULL) {
return root->val;
}
if(umap[root]) {
return umap[root];
}
//情况一,根节点抢的情况
int rootrobval = root->val;
//因为小偷可以往回走,所以是+的关系
if(root->left) rootrobval += rob(root->left->right) + rob(root->left->left);
if(root->right) rootrobval += rob(root->right->left) + rob(root->right->right);
//情况二,根节点不抢的情况
int rootNrobval = rob(root->left) + rob(root->right);
umap[root] = max(rootNrobval, rootrobval);
return max(rootNrobval, rootrobval);
}
};
#endif

浙公网安备 33010602011771号