验证二叉搜索树
题目
给你一个二叉树的根节点 root ,判断其是否是一个有效的二叉搜索树。
有效 二叉搜索树定义如下:
节点的左子树只包含 小于 当前节点的数。
节点的右子树只包含 大于 当前节点的数。
所有左子树和右子树自身必须也是二叉搜索树。
示例 1:

输入:root = [2,1,3]
输出:true
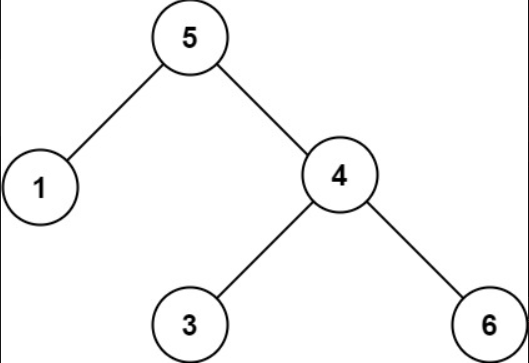
示例 2:

输入:root = [5,1,4,null,null,3,6]
输出:false
解释:根节点的值是 5 ,但是右子节点的值是 4
思路
- 两种方法,利用二叉搜索树的特点,中序遍历是有序的
- 使用递归判断的方法,注意
该方法还是借鉴了二叉搜索树的特点,也就是中序遍历是有序的
代码
- 中序判断法
class Solution { public: vector<int> ve; //用中序遍历之后看是不是有序的,这里为了记录迭代的方法,采用循环的方法 void inorderT(TreeNode* root) { stack<TreeNode*> st; if(root != NULL) { st.push(root); } //左中右,在cur != NULL中,先弹出之后按照右中左的顺序进栈,中后要带着NULL while(!st.empty()) { TreeNode* cur = st.top(); if(cur != NULL) { st.pop(); if(cur->right) st.push(cur->right); st.push(cur); st.push(NULL); if(cur->left) st.push(cur->left); }else { st.pop(); cur = st.top(); st.pop(); ve.push_back(cur->val); } } } bool istrue() { for(int i = 1; i < ve.size(); i++) { if(ve[i - 1] >= ve[i]) { return false; } } return true; } bool isValidBST(TreeNode* root) { inorderT(root); return istrue(); } }; - 递归判断法
class Solution { public: TreeNode* per; bool dfs(TreeNode* cur) { if(cur == NULL) { return true; } bool left = dfs(cur->left); if(per != NULL && per->val >= cur->val) { return false; } per = cur; bool right = dfs(cur->right); return left && right; } bool isValidBST(TreeNode* root) { per = NULL; return dfs(root); } };

浙公网安备 33010602011771号