二叉搜索树的搜索
题目
给定二叉搜索树(BST)的根节点 root 和一个整数值 val。
你需要在 BST 中找到节点值等于 val 的节点。 返回以该节点为根的子树。 如果节点不存在,则返回 null 。
示例 1:

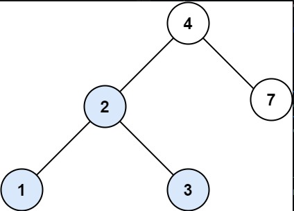
输入:root = [4,2,7,1,3], val = 2
输出:[2,1,3]
示例 2:

输入:root = [4,2,7,1,3], val = 5
输出:[]
思路
注意,首先是二叉搜索树是一个有序的树,中序遍历是有序的,所以每次搜索的方向是确定的,不用回溯的。
代码:
/**
* Definition for a binary tree node.
* struct TreeNode {
* int val;
* TreeNode *left;
* TreeNode *right;
* TreeNode() : val(0), left(nullptr), right(nullptr) {}
* TreeNode(int x) : val(x), left(nullptr), right(nullptr) {}
* TreeNode(int x, TreeNode *left, TreeNode *right) : val(x), left(left), right(right) {}
* };
*/
class Solution {
public:
TreeNode* sBST(TreeNode* root, int val) {
if(root == NULL) {
return NULL;
}
if(root->val == val) {
return root;
}
if(root->val > val) {
return sBST(root->left, val);
}
if(root->val < val) {
return sBST(root->right, val);
}
return NULL;
}
TreeNode* searchBST(TreeNode* root, int val) {
return sBST(root, val);
}
};

浙公网安备 33010602011771号