合并二叉树
题目
给你两棵二叉树: root1 和 root2 。
想象一下,当你将其中一棵覆盖到另一棵之上时,两棵树上的一些节点将会重叠(而另一些不会)。你需要将这两棵树合并成一棵新二叉树。合并的规则是:如果两个节点重叠,那么将这两个节点的值相加作为合并后节点的新值;否则,不为 null 的节点将直接作为新二叉树的节点。
返回合并后的二叉树。
注意: 合并过程必须从两个树的根节点开始。
示例 1:

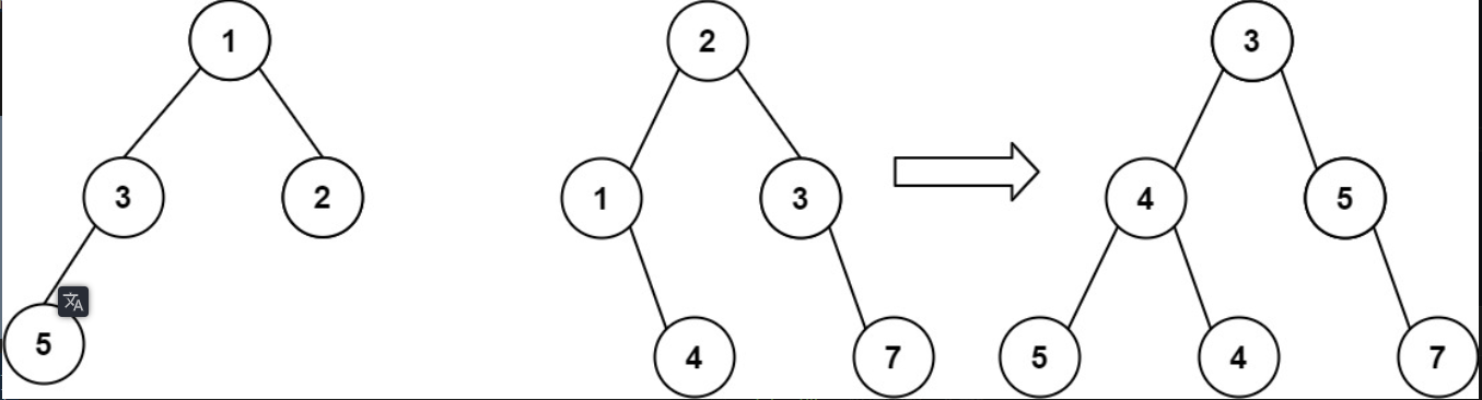
输入:root1 = [1,3,2,5], root2 = [2,1,3,null,4,null,7]
输出:[3,4,5,5,4,null,7]
示例 2:
输入:root1 = [1], root2 = [1,2]
输出:[2,2]
思路
我们选择每一层的递归中创建一个新的节点,所以,结束条件就是有一个是空的,那么直接返回另外一个节点,要是都不为空,那么要合并两个节点的值
代码
class Solution {
public:
TreeNode* mT(TreeNode* r1, TreeNode* r2) {
if(r1 == NULL) {
return r2;
}
if(r2 == NULL) {
return r1;
}
TreeNode* root = new TreeNode(r1->val + r2->val);
root->left = mT(r1->left, r2->left);
root->right = mT(r1->right, r2->right);
return root;
}
TreeNode* mergeTrees(TreeNode* root1, TreeNode* root2) {
return mT(root1, root2);
}
};

浙公网安备 33010602011771号