完全二叉树的节点个数
题目
给你一棵 完全二叉树 的根节点 root ,求出该树的节点个数。
完全二叉树 的定义如下:在完全二叉树中,除了最底层节点可能没填满外,其余每层节点数都达到最大值,并且最下面一层的节点都集中在该层最左边的若干位置。若最底层为第 h 层,则该层包含 1~ 2h 个节点。
示例 1:

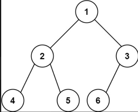
输入:root = [1,2,3,4,5,6]
输出:6
示例 2:
输入:root = []
输出:0
示例 3:
输入:root = [1]
输出:1
思路
递归法:四部曲走就行
代码
/**
* Definition for a binary tree node.
* struct TreeNode {
* int val;
* TreeNode *left;
* TreeNode *right;
* TreeNode() : val(0), left(nullptr), right(nullptr) {}
* TreeNode(int x) : val(x), left(nullptr), right(nullptr) {}
* TreeNode(int x, TreeNode *left, TreeNode *right) : val(x), left(left), right(right) {}
* };
*/
class Solution {//使用全局的方法
public:
void nums(TreeNode* cur,int& num){
if(cur==nullptr){
return;
}
num++;
nums(cur->left,num);
nums(cur->right,num);
return;
}
int countNodes(TreeNode* root) {
int num =0;
nums(root,num);
return num;
}
};
//使用局部的方法
class Solution {
public:
int nums(TreeNode* cur){
if(cur==nullptr){
return 0;
}
return nums(cur->left)+nums(cur->right)+1;
}
int countNodes(TreeNode* root) {
return nums(root);
}
};

浙公网安备 33010602011771号