二叉树的最小深度
题目
给定一个二叉树,找出其最小深度。
最小深度是从根节点到最近叶子节点的最短路径上的节点数量。
说明:叶子节点是指没有子节点的节点。
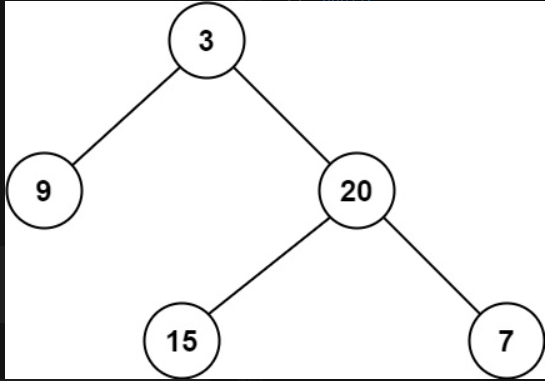
示例 1:

输入:root = [3,9,20,null,null,15,7]
输出:2
示例 2:
输入:root = [2,null,3,null,4,null,5,null,6]
输出:5
思路
使用后序遍历比较方便,这个题目和最大深度有点不一样的地方在于,如果一个节点的左边为空,右边不为空,那么应该继续往下走,最小深度出现的地方绝对是两个左右节点都是不为空的时候,不理解这一条是没有办法解决这个题目的
代码
class Solution {
public:
int minDepth(TreeNode* root) {
if(root==nullptr){//如果这个节点是空节点那么终止
return 0;
}
int lmin = minDepth(root->left);
int rmin = minDepth(root->right);
if(root->left!=nullptr&&root->right==nullptr){//也就是左右节点只有一个空节点的时候并未到达答案的位置,而是继续向下走
return 1+lmin;
}
if(root->left==nullptr&&root->right!=nullptr){
return 1+rmin;
}
return min(lmin,rmin)+1;
}
};

浙公网安备 33010602011771号