对称二叉树
题目
给你一个二叉树的根节点 root , 检查它是否轴对称。
示例 1:

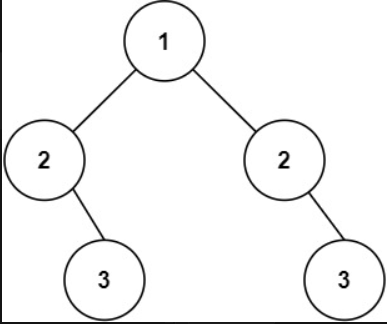
输入:root = [1,2,2,3,4,4,3]
输出:true
示例 2:

输入:root = [1,2,2,null,3,null,3]
输出:false
思路
递归法
根据递归四部曲来解决,注意的是递归三部曲+自己理解的一步曲,按照该步骤进行,具体分析在本目录下的递归法里面讲到了
迭代法
利用队列的特性来进行节点的数值的比较,观看下面的动态图就能理解这样写的目的了
https://code-thinking.cdn.bcebos.com/gifs/101.对称二叉树.gif
代码
/**
* Definition for a binary tree node.
* struct TreeNode {
* int val;
* TreeNode *left;
* TreeNode *right;
* TreeNode() : val(0), left(nullptr), right(nullptr) {}
* TreeNode(int x) : val(x), left(nullptr), right(nullptr) {}
* TreeNode(int x, TreeNode *left, TreeNode *right) : val(x), left(left), right(right) {}
* };
*/
//递归法
class Solution {
public:
bool is_Perfect(TreeNode* left,TreeNode* right){
if(left!=NULL && right==NULL){
return false;
}else if(left==NULL && right!=NULL){
return false;
}else if(left==NULL && right==NULL){
return true;
}else if(left->val!=right->val){
return false;
}
//以上为终止条件
return is_Perfect(left->left,right->right)&&is_Perfect(left->right,right->left);
//以上为单层逻辑
}
bool isSymmetric(TreeNode* root) {
return is_Perfect(root->left,root->right);
}
};
//迭代法
class Solution {
public:
bool isSymmetric(TreeNode* root) {
if(root==NULL){
return true;
}
queue<TreeNode*>qu;//queue是可以存储空的即null
qu.push(root->left);
qu.push(root->right);
while(!qu.empty()){
TreeNode* first = qu.front();
qu.pop();
TreeNode* second = qu.front();
qu.pop();
if(first==NULL&&second==NULL){
continue;
}
if((first!=NULL && second==NULL)||(second!=NULL && first==NULL)||
(first->val!=second->val)){
return false;
}
qu.push(first->left);
qu.push(second->right);
qu.push(first->right);
qu.push(second->left);
}
return true;
}
};

浙公网安备 33010602011771号