翻转二叉树
题目
给你一棵二叉树的根节点 root ,翻转这棵二叉树,并返回其根节点。
示例 1:

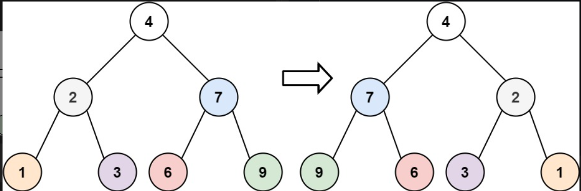
输入:root = [4,2,7,1,3,6,9]
输出:[4,7,2,9,6,3,1]
示例 2:

输入:root = [2,1,3]
输出:[2,3,1]
示例 3:
输入:root = []
输出:[]
思路
采用前序遍历的方法,把中左右的中,换成swap(cur->left,cur->right);就可以了,这样的话每一个递归的时候就是交换两个节点了
代码
/**
* Definition for a binary tree node.
* struct TreeNode {
* int val;
* TreeNode *left;
* TreeNode *right;
* TreeNode() : val(0), left(nullptr), right(nullptr) {}
* TreeNode(int x) : val(x), left(nullptr), right(nullptr) {}
* TreeNode(int x, TreeNode *left, TreeNode *right) : val(x), left(left), right(right) {}
* };
*/
class Solution {
public:
//使用前序遍历的方法
void invert(TreeNode* cur){
if(cur==NULL){
return;
}
swap<TreeNode*>(cur->left,cur->right);
invert(cur->left);
invert(cur->right);
}
TreeNode* invertTree(TreeNode* root) {
invert(root);
return root;
}
};
/*
如果你要是用中序遍历的话那么应该对左子树操作两次就对了
*/
class Solution {
public:
//使用前序遍历的方法,如果采用的是中序遍历的话,那么会进行两次一样的操作
void invert(TreeNode* cur){
if(cur==NULL){
return;
}
invert(cur->left);
swap<TreeNode*>(cur->left,cur->right);
invert(cur->left);
}
TreeNode* invertTree(TreeNode* root) {
invert(root);
return root;
}
};

浙公网安备 33010602011771号