环形链表
题目
给定一个链表的头节点 head ,返回链表开始入环的第一个节点。 如果链表无环,则返回 null。
如果链表中有某个节点,可以通过连续跟踪 next 指针再次到达,则链表中存在环。 为了表示给定链表中的环,评测系统内部使用整数 pos 来表示链表尾连接到链表中的位置(索引从 0 开始)。如果 pos 是 -1,则在该链表中没有环。注意:pos 不作为参数进行传递,仅仅是为了标识链表的实际情况。
不允许修改 链表。
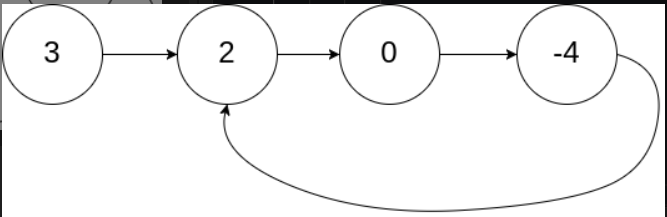
示例 1:

输入:head = [3,2,0,-4], pos = 1
输出:返回索引为 1 的链表节点
解释:链表中有一个环,其尾部连接到第二个节点。
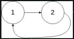
示例 2:

输入:head = [1,2], pos = 0
输出:返回索引为 0 的链表节点
解释:链表中有一个环,其尾部连接到第一个节点。
示例 3:

输入:head = [1], pos = -1
输出:返回 null
解释:链表中没有环。
提示:
链表中节点的数目范围在范围 [0, 104] 内
-105 <= Node.val <= 105
pos 的值为 -1 或者链表中的一个有效索引
思路
这个思路比较难以想到,需要一定的数学功底,思路就是定义两个指针,一个是fast,一个是slow,两者以两倍的速度前进,如果存在环形的话那么肯定会相遇的,要是没有环的话,那么肯定是不会相遇的,也就是最后返回null,然后寻找这个入环的节点也是一样的,两者有一个数学公式推导,集体的看代码随想录的介绍。
代码
class Solution {
public:
ListNode *detectCycle(ListNode *head) {
ListNode* slow = head;
ListNode* fast = head;
while(fast!=NULL && fast->next!=NULL){
slow = slow->next;//slow指针前进一步
fast = fast->next->next;//fast指针前进两步
if(fast == slow){//如果相遇的话,开始计算相交的节点
slow = head;
while(fast!=slow){
fast = fast->next;
slow = slow->next;
}
return slow;
}
}
return NULL;//最后退出了循环,说明没有环形
}
};

浙公网安备 33010602011771号