python继承
不要子类化内置类型
-
python2.2之前,内置类型不能子类化
-
python2.2之后可以子类化,但是内置类型的方法无法调用其子类覆盖的方法
-
如下例子,内置类型dict的__init__和__update__方法会忽略子类覆盖的__setitem__方法
![]()
-
因此,不要直接子类化内置类型,内置类型的方法会忽略用户覆盖的方法。应该继承collections模块中的类,如UserDict、UserList、UserString。
多重继承和方法解析顺序
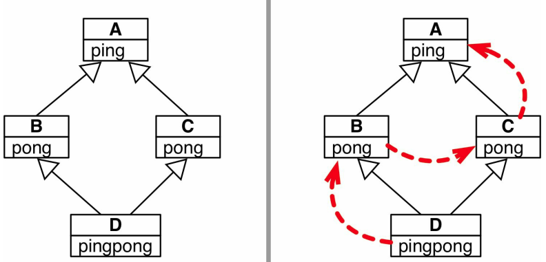
菱形继承问题
- 定义:由不相关的祖先类实现同名方法而引起的命名冲突。
![]()
- 调用冲突方法
- 第一种方式,将实例传入类名显示调用。
d = D() C.pong(d) # 使用父类C中的pong函数 D.pong(d) # 使用父类D中的pong函数 - 第二种方式,直接调用,此时python按照方法解析顺序遍历继承图。
- 具体地,python中每个类都有一个名为__mro__的类属性,其值为元组,按照方法解析顺序列出各个超类,从当前类一直到object类。如下,解析顺序跟定义时候的顺序有关。
![]()
- 具体地,python中每个类都有一个名为__mro__的类属性,其值为元组,按照方法解析顺序列出各个超类,从当前类一直到object类。如下,解析顺序跟定义时候的顺序有关。
- 第一种方式,将实例传入类名显示调用。
- 如果要把方法委托给超类实现,最好使用内置的super()函数,super()函数是安全的,会按照方法解析顺序来找到具体调用的方法
混入类
- 混入类是基于多继承的,具体应用可看下方链接。
[](python中,多重继承和mixin有什么区别? - 量化自由之路的回答 - 知乎
https://www.zhihu.com/question/39469139/answer/685274627)



浙公网安备 33010602011771号