一、概述
1.树的基本定义
树是由n(n>=1)个有限结点构成的一个具有层次关系的集合。之所以叫做“树”,是因为看起来像是一颗倒挂的、根在上叶在下的树。

树具有如下特征:
没有父结点的结点为根结点;
没有子结点的结点为叶节点;
每个非根结点有且仅有一个父结点;
每个结点有零或多个子结点;
2.树的相关术语
- 孩子结点:一个结点的直接后继结点称为该结点的孩子结点。
- 双亲结点(父结点):一个结点的直接前驱称为该结点的双亲结点。
- 兄弟结点:同一双亲结点的孩子结点间互称兄弟结点。
- 叶结点:度为0的结点称为叶结点,也可以叫做终端结点
- 分支结点:度不为0的结点称为分支结点,也可以叫做非终端结点
- 结点的度:一个结点含有的子树的个数称为该结点的度。
- 树的度:树中所有结点的度的最大值。
- 结点的层次:从根结点开始,根结点的层次为1,根的直接后继层次为2,以此类推。
- 树的高度(深度):树中结点的最大层次。
- 结点的层序编号:将树中的结点,按照从上层到下层,同层从左到右的次序排成一个线性序列,把他们编成连续的自然数。
- 森林:m(m>=0)个互不相交的树的集合,将一颗非空树的根结点删去,树就变成一个森林;给森林增加一个统一的根结点,森林就变成一棵树。
3.二叉树的分类
- 二叉树:就是度不超过 2的树(每个结点最多有两个子结点)。

- 满二叉树:一个二叉树,如果每一个层的结点树都达到最大值,则这个二叉树就是满二叉树。

- 完全二叉树:叶节点只能出现在最下层和次下层,并且最下面一层的结点都集中在该层最左边的若干位置的二叉树。

二、二叉查找树的实现
1.基本功能:添加、获取、删除
-
结构:可以用链表或线性表,下面以取链表为例。Node类的成员变量包括键值对的key和value,以及左孩子结点和右孩子结点。
- 特点:对于每一个子树,左子树的元素都小于其根结点,右子树的元素都大于其根结点。
- 实现思路:
- 插入元素:
- 有返回值递归版:从根结点开始。如果是往空子树中插入,只需创建新结点返回即可,上层会将返回的新结点设为根结点;如果是往非空子树中插入,就需要根据key值的大小选择左子树或右子树进行递归遍历,并将添加元素后的新左/右子树赋值给原左/右子树。即,会统一遍历到空结点,在这里创建N++和结点结束返回。
- 无返回值重复调用版:分为两种情况,一种是往空子树中插入,创建新结点设为根结点即可,一种是往非空子树中插入,根据key的大小选择左子树或右子树往下深入遍历,自行负责创建结点和结点数增加。
- 获取元素:遍历获取返回。
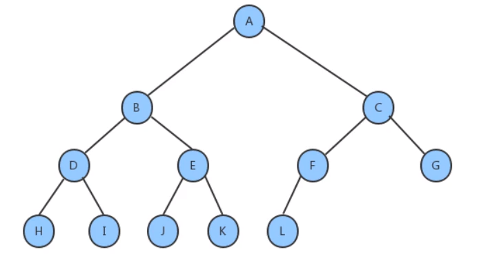
- 删除元素:如果是删除的叶结点好说,但如果删除的是一个中间结点,那树就会散架成为森林,因此需要一个替换结点来代替删除结点的位置,此结点比较合适的就是比删除结点大一点的,也就是右子树的最左节点。过程如图。
- 插入元素:

- 代码实现:
package com.ex.tree; /** * 实现二叉查找树 */ public class BinaryTree<K extends Comparable<K>,V> { //根结点 private Node root; //元素个数 private int N; private class Node { //键 private K key; //值 private V value; //左孩子 private Node left; //右孩子 private Node right; public Node(K key, V value, Node left, Node right) { this.key = key; this.value = value; this.left = left; this.right = right; } } public BinaryTree() { } //获取树中元素的个数 public int size(){ return N; } //向树中插入一个键值对 public void put(K key,V value){ root = put(root,key,value); } //给指定树x上,插入一个键值对,并返回添加后的以x为根节点的新树 private Node put(Node x,K key,V value){ //如果树为空: if (x==null){ N++; return new Node(key,value,null,null); } //如果树不为空: int comp = key.compareTo(x.key); if (comp>0){ //如果key大于x的key,继续搜寻右子树 x.right = put(x.right,key,value); }else if (comp<0){ //如果key小于x的key,继续搜寻左子树 x.left = put(x.left,key,value); }else { //如果key等于x的key,直接替换该结点value x.value=value; } return x; } //根据key,从树中找出对应结点,返回value public V get(K key){ return get(root,key); } //从指定的树x中,找出key对应的value private V get(Node x,K key){ //如果树为空: if (x==null){ return null; } //如果树不为空: int comp = key.compareTo(x.key); if (comp>0){ //如果key大于x的key,继续搜寻右子树 return get(x.right,key); }else if (comp<0){ //如果key小于x的key,继续搜寻左子树 return get(x.left,key); }else { //如果key等于x的key,直接替换该结点value return x.value; } } //根据key,从树中删除对应的键值对 public void delete(K key){ root = delete(root, key); } //根据key,从指定的树中删除对应的键值对 private Node delete(Node x,K key){ //如果树为空: if (x==null){ return null; } //如果树不为空: int comp = key.compareTo(x.key); if (comp>0){ //如果key大于x的key,继续搜寻右子树 x.right = delete(x.right,key); }else if (comp<0){ //如果key小于x的key,继续搜寻左子树 x.left = delete(x.left,key); }else { //如果key等于x的key,则进行删除操作:要删除的结点为x //结点数-1 N--; //1.如果当前结点的左子树不存在 if (x.left ==null){ return x.right; } //2.如果当前结点的右子树不存在 if (x.right ==null){ return x.left; } //3.如果当前结点的左右子树都存在 //3.1找到替换结点(右子树中最小的结点)和其父结点 Node replaceParNode=x.right; while (replaceParNode.left != null && replaceParNode.left.left != null){ replaceParNode=replaceParNode.left; } Node replaceNode=(replaceParNode.left==null)?replaceParNode:replaceParNode.left; //3.2断开替换结点和父结点的联系 replaceParNode.left=null; //3.3连接替换结点和删除的父结点、左孩子、右孩子 replaceNode.left=x.left; replaceNode.right=x.right; //3.4**断开删除结点和关联结点的联系 x=replaceNode; } return x; } }
//向树中插入一个键值对 public void put(K key,V value){ put(root,key,value); } //给指定树x上,插入一个键值对,并返回添加后的以x为根节点的新树 //无返回值重复调用版 private void put(Node x,K key,V value){ //如果树为空: if (root==null){ N++; root =new Node(key,value,null,null); return; } //如果树不为空: int comp = key.compareTo(x.key); if (comp>0){ //如果key大于x的key,继续搜寻右子树 if (x.right != null) { put(x.right,key,value); }else { x.right=new Node(key,value,null,null); N++; } }else if (comp<0){ //如果key小于x的key,继续搜寻左子树 if (x.left != null) { put(x.left,key,value); }else { x.left=new Node(key,value,null,null); N++; } }else { //如果key等于x的key,直接替换该结点value x.value=value; } }
2.扩展功能:
2.1查找二叉树中最大/小的键
//找出整个树最小的键 public K getMinKey(){ return getMinKey(root).key; } private Node getMinKey(Node n) { if (n.left!=null){ return getMinKey(n.left); }else { return n; } } //找出整个树中最大的键 public K getMaxKey(){ return getMaxKey(root).key; } private Node getMaxKey(Node n) { if (n.right!=null){ return getMaxKey(n.right); }else { return n; } }
2.2获取二叉树的最大深度
//获取树的最大深度 public int getMaxDepth(){ return getMaxDepth(root); } private int getMaxDepth(Node n) { //1.如果根结点为空:则最大深度为0 if (n==null){ return 0; } //2.如果根结点不为空: //设变量分别保存树、左子树、右子树的最大深度 int max=0,maxL=0,maxR=0; //2.1如果左子树不为空,则计算左子树的最大深度 if (n.left != null){ maxL = getMaxDepth(n.left); } //2.2如果右子树不为空,则计算右子树的最大深度 if (n.right != null) { maxR = getMaxDepth(n.right); } //2.3计算树树的最大深度:左右子树中的较大者+1 max = maxL>maxR?maxL+1:maxR+1; return max; }
3.基础遍历

3.1前序遍历:先访问根结点,然后再访问左子树,最后访问右子树
前序遍历结果:EBADCGFH
3.2中序遍历:先访问左子树,中间访问根节点,最后访问右子树
中序遍历结果:ABCDEFGH
3.3后序遍历:先访问左子树,再访问右子树,最后访问根节点
后序遍历结果:ACDBFHGE
3.4层序遍历:从根节点(第一层)开始,依次向下,获取每一层所有结点的值
层序遍历结果:EBGADFHC
实现代码:
//前序遍历,获得整个树中所有的键 public Queue<K> preOrderTraversal(){ Queue<K> keys=new LinkedList<>(); preOrderTraversal(root, keys); return keys; } private void preOrderTraversal(Node n, Queue<K> keys) { if (n!=null){ keys.add(n.key); preOrderTraversal(n.left,keys); preOrderTraversal(n.right,keys); } } //中序遍历,获得整个树中所有的键 public Queue<K> middleOrderTraversal(){ Queue<K> keys=new LinkedList<>(); middleOrderTraversal(root, keys); return keys; } private void middleOrderTraversal(Node n, Queue<K> keys) { if (n!=null){ middleOrderTraversal(n.left,keys); keys.add(n.key); middleOrderTraversal(n.right,keys); } } //后序遍历,获得整个树中所有的键 public Queue<K> postOrderTraversal(){ Queue<K> keys=new LinkedList<>(); postOrderTraversal(root, keys); return keys; } private void postOrderTraversal(Node n, Queue<K> keys) { if (n!=null){ postOrderTraversal(n.left,keys); postOrderTraversal(n.right,keys); keys.add(n.key); } } //层序遍历,获得整个树中所有的键 public Queue<K> layerTraversal(){ Queue<K> keys=new LinkedList<>(); //创建队列,存储每一层的结点 Queue<Node> queue=new LinkedList<>(); queue.offer(root); while (!queue.isEmpty()){ //出队一个元素 Node node = queue.poll(); //2.获取当前结点的key; keys.offer(node.key); //如果当前结点的左子结点不为空,则把左子结点放入到队列中 if (node.left!=null){ queue.offer(node.left); } //如果当前结点的右子结点不为空,则把右子结点放入到队列中 if (node.right!=null){ queue.offer(node.right); } } return keys; }
浙公网安备 33010602011771号