01背包python实现
假设我们有n件物品,分别编号为1, 2…n。其中编号为i的物品价值为vi,它的重量为wi。为了简化问题,假定价值和重量都是整数值。现在,假设我们有一个背包,它能够承载的重量是W。现在,我们希望往包里装这些物品,使得包里装的物品价值最大化,那么我们该如何来选择装的东西呢?问题结构如下图所示:

这个问题其实根据不同的情况可以归结为不同的解决方法。假定我们这里选取的物品每个都是独立的,不能选取部分。也就是说我们要么选取某个物品,要么不能选取,不能只选取一个物品的一部分。这种情况,我们称之为0-1背包问题。而如果我们可以使用部分的物品的话,这个问题则成为部分背包(fractional knapsack)问题。这里我们只考虑0-1背包问题。
2、初步分析
对于这个问题,一开始确实有点不太好入手。一堆的物品,每一个都有一定的质量和价值,我们能够装入的总重量有限制,该怎么来装使得价值最大呢?对于这n个物品,每个物品我们可能会选,也可能不选,那么我们总共就可能有2^n种组合选择方式。如果我们采用这种 办法来硬算的话,则整体的时间复杂度就达到指数级别的,肯定不可行。
现在我们换一种思路。既然每一种物品都有价格和重量,我们优先挑选那些单位价格最高的是否可行呢?比如在下图中,我们有3种物品,他们的重量和价格分别是10, 20, 30 kg和60, 100, 120。

那么按照单位价格来算的话,我们最先应该挑选的是价格为60的元素,选择它之后,背包还剩下50 - 10 = 40kg。再继续前面的选择,我们应该挑选价格为100的元素,这样背包里的总价值为60 + 100 = 160。所占用的重量为30, 剩下20kg。因为后面需要挑选的物品为30kg已经超出背包的容量了。我们按照这种思路能选择到的最多就是前面两个物品。如下图:

按照我们前面的期望,这样选择得到的价值应该是最大的。可是由于有一个背包重量的限制,这里只用了30kg,还有剩下20kg浪费了。这会是最优的选择吗?我们看看所有的选择情况:

很遗憾,在这几种选择情况中,我们前面的选择反而是带来价值最低的。而选择重量分别为20kg和30kg的物品带来了最大的价值。看来,我们刚才这种选择最佳单位价格的方式也行不通。
3、动态规划思路
既然前面两种办法都不可行,我们再来看看有没有别的方法。我们再来看这个问题。我们需要选择n个元素中的若干个来形成最优解,假定为k个。那么对于这k个元素a1, a2, …ak来说,它们组成的物品组合必然满足总重量<=背包重量限制,而且它们的价值必然是最大的。因为它们是我们假定的最优选择嘛,肯定价值应该是最大的。假定ak是我们按照前面顺序放入的最后一个物品。它的重量为wk,它的价值为vk。既然我们前面选择的这k个元素构成了最优选择,如果我们把这个ak物品拿走,对应于k-1个物品来说,它们所涵盖的重量范围为0-(W-wk)。假定W为背包允许承重的量。假定最终的价值是V,剩下的物品所构成的价值为V-vk。这剩下的k-1个元素是不是构成了一个这种W-wk的最优解呢?
我们可以用反证法来推导。假定拿走ak这个物品后,剩下的这些物品没有构成W-wk重量范围的最佳价值选择。那么我们肯定有另外k-1个元素,他们在W-wk重量范围内构成的价值更大。如果这样的话,我们用这k-1个物品再加上第k个,他们构成的最终W重量范围内的价值就是最优的。这岂不是和我们前面假设的k个元素构成最佳矛盾了吗?所以我们可以肯定,在这k个元素里拿掉最后那个元素,前面剩下的元素依然构成一个最佳解。
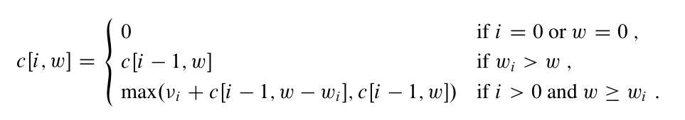
现在我们经过前面的推理已经得到了一个基本的递推关系,就是一个最优解的子解集也是最优的。可是,我们该怎么来求得这个最优解呢?我们这样来看。假定我们定义一个函数c[i, w]表示到第i个元素为止,在限制总重量为w的情况下我们所能选择到的最优解。那么这个最优解要么包含有i这个物品,要么不包含,肯定是这两种情况中的一种。如果我们选择了第i个物品,那么实际上这个最优解是c[i - 1, w-wi] + vi。而如果我们没有选择第i个物品,这个最优解是c[i-1, w]。这样,实际上对于到底要不要取第i个物品,我们只要比较这两种情况,哪个的结果值更大不就是最优的么?
在前面讨论的关系里,还有一个情况我们需要考虑的就是,我们这个最优解是基于选择物品i时总重量还是在w范围内的,如果超出了呢?我们肯定不能选择它,这就和c[i-1, w]一样。
这里有一点值得注意,这里的wi指的是第i个物品的重量,而不是到第i个物品时的总重量。
另外,对于初始的情况呢?很明显c[0, w]里不管w是多少,肯定为0。因为它表示我们一个物品都不选择的情况。c[i, 0]也一样,当我们总重量限制为0时,肯定价值为0。
这样,基于我们前面讨论的这3个部分,我们可以得到一个如下的递推公式:

有了这个关系,我们可以更进一步的来考虑代码实现了。我们有这么一个递归的关系,其中,后面的函数结果其实是依赖于前面的结果的。我们只要按照前面求出来最基础的最优条件,然后往后面一步步递推,就可以找到结果了。
我们再来考虑一下具体实现的细节。这一组物品分别有价值和重量,我们可以定义两个数组int[] v, int[] w。v[i]表示第i个物品的价值,w[i]表示第i个物品的重量。为了表示c[i, w],我们可以使用一个int[i][w]的矩阵。其中i的最大值为物品的数量,而w表示最大的重量限制。按照前面的递推关系,c[i][0]和c[0][w]都是0。而我们所要求的最终结果是c[n][w]。所以我们实际中创建的矩阵是(n + 1) x (w + 1)的规格。
4、Python代码实现
5、复杂度优化
以上方法的时间和空间复杂度均为 O(N*W),其中时间复杂度基本已经不能再优 化了,但空间复杂度却可以优化到 O(W)。
先考虑上面讲的基本思路如何实现,肯定是有一个主循环 i=1…N,每次算出来 二维数组 f[i][0…W]的所有值。那么,如果只用一个数组 f[0…W],能不能保证 第 i 次循环结束后 f[w]中表示的就是我们定义的状态 f[i][w]呢?f[i][w]是由 f[i-1][w]和 f[i-1][w-c[i]]两个子问题递推而来,能否保证在推 f[i][w]时(也 即在第 i 次主循环中推 f[w]时)能够得到 f[i-1][w]和 f[i-1][w-w[i]]的值呢? 事实上,这要求在每次主循环中我们以 v=V…0 的顺序推 f[w],这样才能保证推 f[v]时 f[v-w[i]]保存的是状态 f[i-1][w-w[i]]的值。改进后的代码如下:
6、进一步思考
我们看到的求最优解的背包问题题目中,事实上有两种不太相同的问法。有的题 目要求“恰好装满背包”时的最优解,有的题目则并没有要求必须把背包装满。 一种区别这两种问法的实现方法是在初始化的时候有所不同。
如果是第一种问法,要求恰好装满背包,那么在初始化时除了 f[0]为 0 其它 f[1…W]均设为-∞,这样就可以保证最终得到的 f[N]是一种恰好装满背包的最 优解。
如果并没有要求必须把背包装满,而是只希望价格尽量大,初始化时应该将 f[0…W]全部设为 0。
为什么呢?可以这样理解:初始化的 f 数组事实上就是在没有任何物品可以放入 背包时的合法状态。如果要求背包恰好装满,那么此时只有容量为 0 的背包可能 被价值为 0 的 nothing“恰好装满”,其它容量的背包均没有合法的解,属于未 定义的状态,它们的值就都应该是-∞了。如果背包并非必须被装满,那么任何 容量的背包都有一个合法解“什么都不装”,这个解的价值为 0,所以初始时状 态的值也就全部为 0 了。
这个小技巧完全可以推广到其它类型的背包问题,后面也就不再对进行状态转移 之前的初始化进行讲解。
7、总结
01 背包问题是最基本的背包问题,它包含了背包问题中设计状态、方程的最基 本思想,另外,别的类型的背包问题往往也可以转换成 01 背包问题求解。故一 定要仔细体会上面基本思路的得出方法,状态转移方程的意义,以及最后怎样优 化的空间复杂度

浙公网安备 33010602011771号