Matlab 线性规划问题(来自CSDN by WC 1.7.2016 用于个人学习)
1.Matlab规定线性规划的标准形式为:
几个不等式是问题的约束条件,记为 s.t.(即 subject to)。 MATLAB中求解线性规划的命令为:
[ x,fval ]=linprog(f,A,b)
[ x,fval ]=linprog(f,A,b,Aeq,beq)
[ x,fval ]=linprog(f,A,b,Aeq,beq,lb,ub)
其中:返回的x为决策向量的取值; 返回的fval是目标函数的最大值;f为价值向量;A和b对应的是线性不等式约束;Aeq和beq对应的是线性等式约束;lb和ub分别对应的是决策向量的下界向量和上界向量。
eg:
(1)化为Matlab标准型,即
minw=−2x1−3x2+5x3
(2)求解的Matlab程序如下:
f=[-2,-3,5]'
A=[-2,5,-1;1,3,1]; b=[-10;12];
Aeq=[1,1,1]; beq=7;
[x,fval]=linprog(f,A,b,Aeq,beq,zeros(3,1));
x
fval=-fval
- 1
- 2
- 3
- 4
- 5
- 6
这里的zeros(3,1)是为了产生3行1列的全0矩阵,对应着x1,x2,x3均大于等于0的约束条件。
得出结果如下如所示:
2.可以转化为线性规划的问题
min|x1|+|x2|+⋅⋅⋅+|xn|
(1)
可进一步把模型改写为:
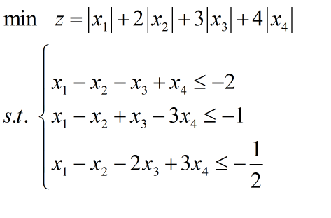
eg:
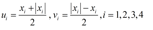
做变量变换
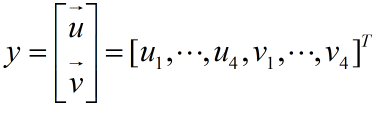
并把新变量重新排列成一维向量
即可把模型变换为线性规划模型,其中:
(2)
计算的MATLAB程序如下所示:
c=[1:4];c=[c,c]';
a=[1,-1,-1,1;1,-1,1,-3;1,-1,-2,3]; a=[a,-a];
b=[-2;-1;1/2];
[y,fval]=linprog(c,a,b,[],[],zeros(8,1));
x=y(1:4)-y(5:8)
- 1
- 2
- 3
- 4
- 5
得出的结果如下图所示:

浙公网安备 33010602011771号