数的划分
题目描述
将整数 n 分成 k 份,且每份不能为空,问有多少种不同的分法。当 n=7, k=3n=7,k=3 时,下面三种分法被认为是相同的:1,1,5; 1,5,1; 5,1,1
输入格式
一行两个数 n , k。
输出格式
一行一个整数,即不同的分法数。
样例
四种分法为:1,1,5;1,2,4;1,3,3;2,2,3。
数据范围与提示
6≤n≤200, 2≤k≤6。
题解:
定义一个数组dp[][],dp[i][j]表示将整数 i 划分为 j 份 的方案数。dp[i][j]的动态转移方程为 :

那么我们应该如何理解该式子呢?首先,如果拿到一个整数 i ,因为题目中要求每份不能为空,因此必须先拿出 j 个数位将 j 份分别放上1,此时剩下 i - j个数。那么剩下的数如何处理呢?可以将其全部分到一份当中(dp[i-j][1]),也可以分到两份中(dp[i-j][2]),...,也可以分到 j 份中(dp[i-j][j]),而每一种分法都是不相同的,所以可以将其全部加起来,和即为dp[i][j]。
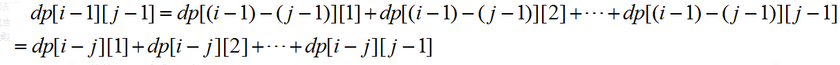
不过这个式子看起来并不简洁,为了求得一个简洁的式子,我们再求一个dp[i-1][j-1],

比较上面两个式子可得,

这就是一个比较简洁的递推式子了,有点类似于高中数学中的裂项相消原理。
这里注意 i , j 的取值范围,i = 1~n,j = 1~ k,但是求dp[i][j]时,必须保证 i>=j(划分的份数不能超过给定的整数)。
```
//
// Created by 23011 on 13/1/2022.
//
#include<stdio.h>
#include<string.h>
int a[200][8];
int main()
{
int n, k, i, j;
scanf("%d %d", &n, &k);
a[0][0] = 1;
for(i = 1; i <= n; ++i)
{
for(j = 1; j <= k; ++j)
{
if(j > i)
a[i][j] = 0;
else
a[i][j] = a[i - 1][j - 1] + a[i - j][j];
}
}
printf("%d\n", a[n][k]);
return 0;
}

浙公网安备 33010602011771号