83. 删除排序链表中的重复元素
题目
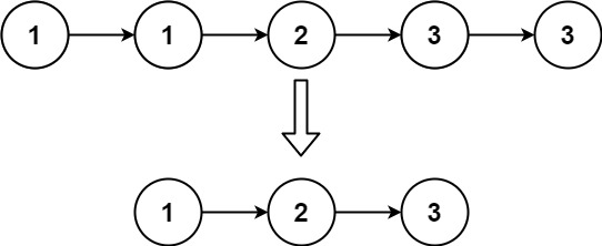
存在一个按升序排列的链表,给你这个链表的头节点 head ,请你删除所有重复的元素,使每个元素只出现一次 。
返回同样按升序排列的结果链表。
/**
* @author chenzufeng
* @date 2021-06-27
* 单链表
*/
public class SinglyLinkedListNode {
int value;
SinglyLinkedListNode nextNode;
SinglyLinkedListNode() {}
SinglyLinkedListNode(int value) {
this.value = value;
}
SinglyLinkedListNode(int value, SinglyLinkedListNode nextNode) {
this.value = value;
this.nextNode = nextNode;
}
}
解题思路
由于给定的链表是排好序的,重复的元素在链表中出现的位置是连续的,因此只需要对链表进行一次遍历,就可以删除重复的元素。
具体地,指针\(\textit{cur}\) 指向链表的头节点,随后开始对链表进行遍历。如果当前 \(\textit{cur}\) 与 \(\textit{cur.next}\) 对应的元素相同,那么就将 \(\textit{cur.next}\) 从链表中移除;否则说明链表中已经不存在其它与 \(\textit{cur}\) 对应的元素相同的节点,因此可以将 \(\textit{cur}\) 指向 \(\textit{cur.next}\)。
当遍历完整个链表之后,返回链表的头节点即可。
代码实现
/**
* @author chenzufeng
* @date 2021-07-11
* 83. 删除排序链表中的重复元素
*/
public class No83_RemoveDuplicatesFromSortedList {
public SinglyLinkedListNode removeDuplicatesFromSortedList(SinglyLinkedListNode head) {
if (head == null) {
return null;
}
SinglyLinkedListNode currentNode = head;
while (currentNode.nextNode != null) {
if (currentNode.value == currentNode.nextNode.value) {
currentNode.nextNode = currentNode.nextNode.nextNode;
} else {
currentNode = currentNode.nextNode;
}
}
return head;
}
}
复杂度分析
- 时间复杂度:\(O(N)\),其中 \(n\) 是链表的长度。
- 空间复杂度:\(O(1)\)。

浙公网安备 33010602011771号