实验二:逻辑回归算法实验
实验二:逻辑回归算法实验
|博客班级|https://edu.cnblogs.com/campus/czu/classof2020BigDataClass3-MachineLearning|
|----|----|----|
|作业要求|https://edu.cnblogs.com/campus/czu/classof2020BigDataClass3-MachineLearning/homework/12864|
|学号|201613302|
【实验目的】
理解逻辑回归算法原理,掌握逻辑回归算法框架;
理解逻辑回归的sigmoid函数;
理解逻辑回归的损失函数;
针对特定应用场景及数据,能应用逻辑回归算法解决实际分类问题。
【实验内容】
1.根据给定的数据集,编写python代码完成逻辑回归算法程序,实现如下功能:
建立一个逻辑回归模型来预测一个学生是否会被大学录取。假设您是大学部门的管理员,您想根据申请人的两次考试成绩来确定他们的入学机会。您有来自以前申请人的历史数据,可以用作逻辑回归的训练集。对于每个培训示例,都有申请人的两次考试成绩和录取决定。您的任务是建立一个分类模型,根据这两门考试的分数估计申请人被录取的概率。
算法步骤与要求:
(1)读取数据;(2)绘制数据观察数据分布情况;(3)编写sigmoid函数代码;(4)编写逻辑回归代价函数代码;(5)编写梯度函数代码;(6)编写寻找最优化参数代码(可使用scipy.opt.fmin_tnc()函数);(7)编写模型评估(预测)代码,输出预测准确率;(8)寻找决策边界,画出决策边界直线图。
2. 针对iris数据集,应用sklearn库的逻辑回归算法进行类别预测。
要求:(1)使用seaborn库进行数据可视化;(2)将iri数据集分为训练集和测试集(两者比例为8:2)进行三分类训练和预测;(3)输出分类结果的混淆矩阵。
【实验报告要求】
对照实验内容,撰写实验过程、算法及测试结果;
代码规范化:命名规则、注释;
实验报告中需要显示并说明涉及的数学原理公式;
查阅文献,讨论逻辑回归算法的应用场景;
实验内容及结果
一、根据给定的数据集,编写python代码完成逻辑回归算法程序,实现如下功能:
建立一个逻辑回归模型来预测一个学生是否会被大学录取。假设您是大学部门的管理员,您想根据申请人的两次考试成绩来确定他们的入学机会。您有来自以前申请人的历史数据,可以用作逻辑回归的训练集。对于每个培训示例,都有申请人的两次考试成绩和录取决定。您的任务是建立一个分类模型,根据这两门考试的分数估计申请人被录取的概率。
1、读取数据
import numpy as np import pandas as pd import matplotlib.pyplot as plt import scipy.optimize as opt #读取数据 data=pd.read_csv("F:/学校/大三/机器学习/ex2data1.txt",delimiter=',',header=None,names=['exam1','exam2','isAdmitted'])

2、绘制数据观察数据分布情况
admittedData=data[data['isAdmitted'].isin([1])] noAdmittedData=data[data['isAdmitted'].isin([0])] fig,ax=plt.subplots(figsize=(12,8)) ax.scatter(admittedData['exam1'],admittedData['exam2'],marker='+',label='addmitted') ax.scatter(noAdmittedData['exam1'],noAdmittedData['exam2'],marker='o',label="not addmitted") ax.legend(loc=1) ax.set_xlabel('Exam1 score') ax.set_ylabel('Exam2 score') ax.set_title("Scatter plot of training data") plt.show()

3、编写sigmoid函数代码
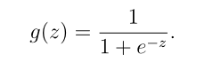
def sigmoid(z): return 1/(1+np.exp(-z))

4、编写逻辑回归代价函数代码
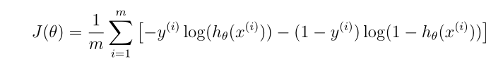
def computeCost(theta,X,Y): theta = np.matrix(theta) h=sigmoid(np.dot(X,(theta.T))) a=np.multiply(-Y,np.log(h)) b=np.multiply((1-Y),np.log(1-h)) return np.sum(a-b)/len(X)

5、编写梯度函数代码
def gradient(theta,X,Y): theta = np.matrix(theta) h=sigmoid(np.dot(X,(theta.T))) grad=np.dot(((h-Y).T),X)/len(X) return np.array(grad).flatten()

6、编写寻找最优化参数代码(可使用scipy.opt.fmin_tnc()函数)
data.insert(0, 'ones',1) loc=data.shape[1] X=np.array(data.iloc[:,0:loc-1]) Y=np.array(data.iloc[:,loc-1:loc]) theta=np.zeros(X.shape[1]) X.shape,Y.shape,theta.shape import scipy.optimize as opt result = opt.fmin_tnc(func=computeCost, x0=theta, fprime=gradient, args=(X, Y)) theta=result[0]

7、编写模型评估(预测)代码,输出预测准确率
def predict(theta, X): theta = np.matrix(theta) temp = sigmoid(X * theta.T) #print(temp) return [1 if x >= 0.5 else 0 for x in temp] predictValues=predict(theta,X) hypothesis=[1 if a==b else 0 for (a,b)in zip(predictValues,Y)] accuracy=hypothesis.count(1)/len(hypothesis) print ('accuracy = {0}%'.format(accuracy*100))

8、寻找决策边界,画出决策边界直线图
def find_x2(x1,theta): return [(-theta[0]-theta[1]*x_1)/theta[2] for x_1 in x1] x1 = np.linspace(30, 100, 1000) x2=find_x2(x1,theta) admittedData=data[data['isAdmitted'].isin([1])] noAdmittedData=data[data['isAdmitted'].isin([0])] fig,ax=plt.subplots(figsize=(12,8)) ax.scatter(admittedData['exam1'],admittedData['exam2'],marker='+',label='addmitted') ax.scatter(noAdmittedData['exam2'],noAdmittedData['exam1'],marker='o',label="not addmitted") ax.plot(x1,x2,color='r',label="decision boundary") ax.legend(loc=1) ax.set_xlabel('Exam1 score') ax.set_ylabel('Exam2 score') ax.set_title("Training data with decision boundary") plt.show()

import numpy as np import pandas as pd import matplotlib.pyplot as plt import seaborn as sns from sklearn.datasets import load_iris data = load_iris() iris_target = data.target iris_features = pd.DataFrame(data=data.data, columns=data.feature_names) iris_features.info() iris_features.head() iris_features.tail() iris_target pd.Series(iris_target).value_counts() iris_features.describe() iris_all = iris_features.copy() iris_all['target'] = iris_target sns.pairplot(data=iris_all,diag_kind='hist', hue= 'target') plt.show()


from sklearn.model_selection import train_test_split X_train,X_test,y_train,y_test = train_test_split(iris_features,iris_target,test_size=0.2,random_state=2020) from sklearn.linear_model import LogisticRegression clf=LogisticRegression(random_state=0,solver='lbfgs') # 在训练集上训练逻辑回归模型 clf.fit(X_train,y_train) print('the weight of Logistic Regression:\n',clf.coef_) print('the intercept(w0) of Logistic Regression:\n',clf.intercept_) ## 在训练集和测试集上分布利用训练好的模型进行预测 train_predict = clf.predict(x_train) test_predict = clf.predict(x_test)

from sklearn import metrics confusion_matrix_result = metrics.confusion_matrix(test_predict,y_test) print('The confusion matrix result:\n',confusion_matrix_result)

4、利用热力图对于结果进行可视化
plt.figure(figsize=(8, 6)) sns.heatmap(confusion_matrix_result, annot=True, cmap='Blues') plt.xlabel('Predicted labels') plt.ylabel('True labels') plt.show()

三、实验报告中需要显示并说明涉及的数学原理公式
1、Sigmod函数


2、代价函数

3、梯度函数

4、求解决策边界

四、讨论逻辑回归算法的应用场景
1、用于分类:适合做很多分类算法的基础组件;
2、用于预测:预测事件发生的概率(输出);
3、用于分析:单一因素对某一个事件发生的影响因素分析(特征参数值)。
 
                    
                     
                    
                 
                    
                
 
                
            
         
         浙公网安备 33010602011771号
浙公网安备 33010602011771号