双线性汇合(bilinear pooling)
本博文为学习笔记,博文的内容来自网上各种资料,在文末给出引用,本博文不作任何商业用途,仅供本人学习记录


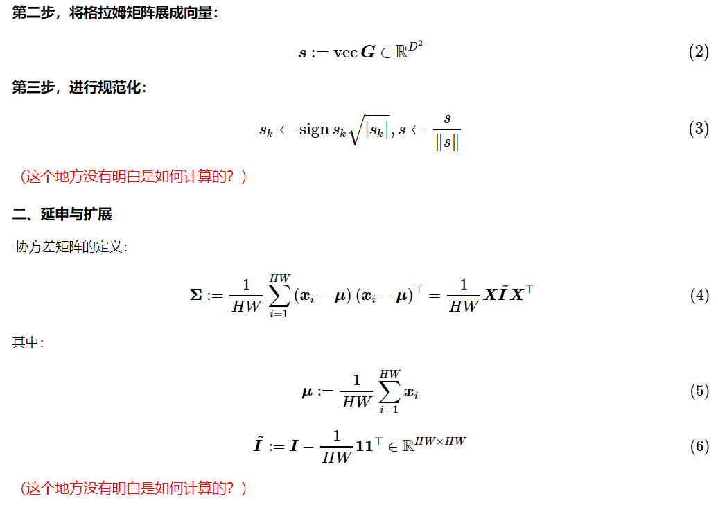
细粒度图像分类旨在同一大类图像的确切子类。由于不同子类之间的视觉差异很小,而且容易受姿势、视角、图像中目标位置等影响,这是一个很有挑战性的任务。因此,类间差异通常比类内差异更小。双线性汇合(bilinear pooling)计算不同空间位置的外积,并对不同空间位置计算平均汇合以得到双线性特征。外积捕获了特征通道之间成对的相关关系,并且这是平移不变的。双线性汇合提供了比线性模型更强的特征表示,并可以端到端地进行优化,取得了和使用部位(parts)信息相当或甚至更高的性能。(换句话说,其实类似于之前博文提到过的covariance pooling,获得不通过空间位置的关系)
(关于细粒度图像分类任务的描述可以参考博文《(转)细粒度图像分析进展综述》)
数学基础


参考资料
https://www.cnblogs.com/yanxingang/p/10771624.html
https://blog.csdn.net/gwplovekimi/article/details/93380942
本文来自博客园,作者:海_纳百川,转载请注明原文链接:https://www.cnblogs.com/chentiao/p/16316366.html,如有侵权联系删除

浙公网安备 33010602011771号