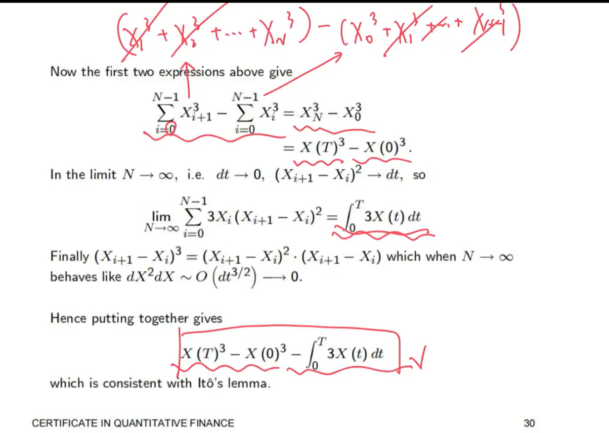
CQF M1L6 鞅 随机微积分 伊藤积分

 

 

 

 

 

 

 

 

 

 

 

 

 

 

 

 

 

 

 

 

 

 

 

 

 

 

 

 

 

 

 

 

 

 

 

 

 

 

 

 

 

 

 

 

 

 

 

 

 

 

 

 

 

 

 

 

 

 

 

 

 

 

 

 

 

 

 

posted @ 2023-02-25 15:04  笨笨和呆呆  阅读(44)  评论(0)    收藏  举报