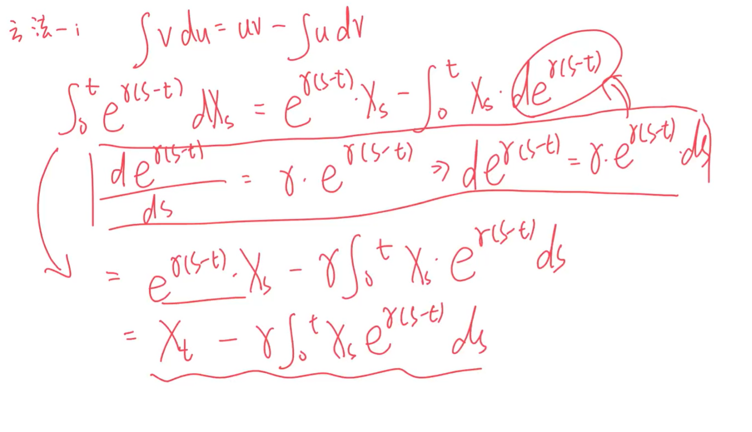
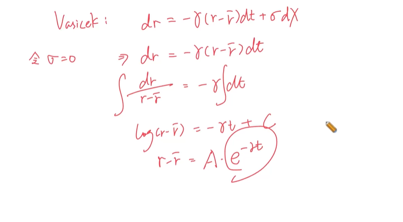
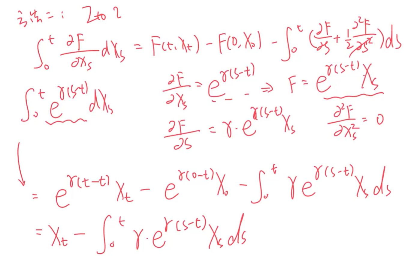
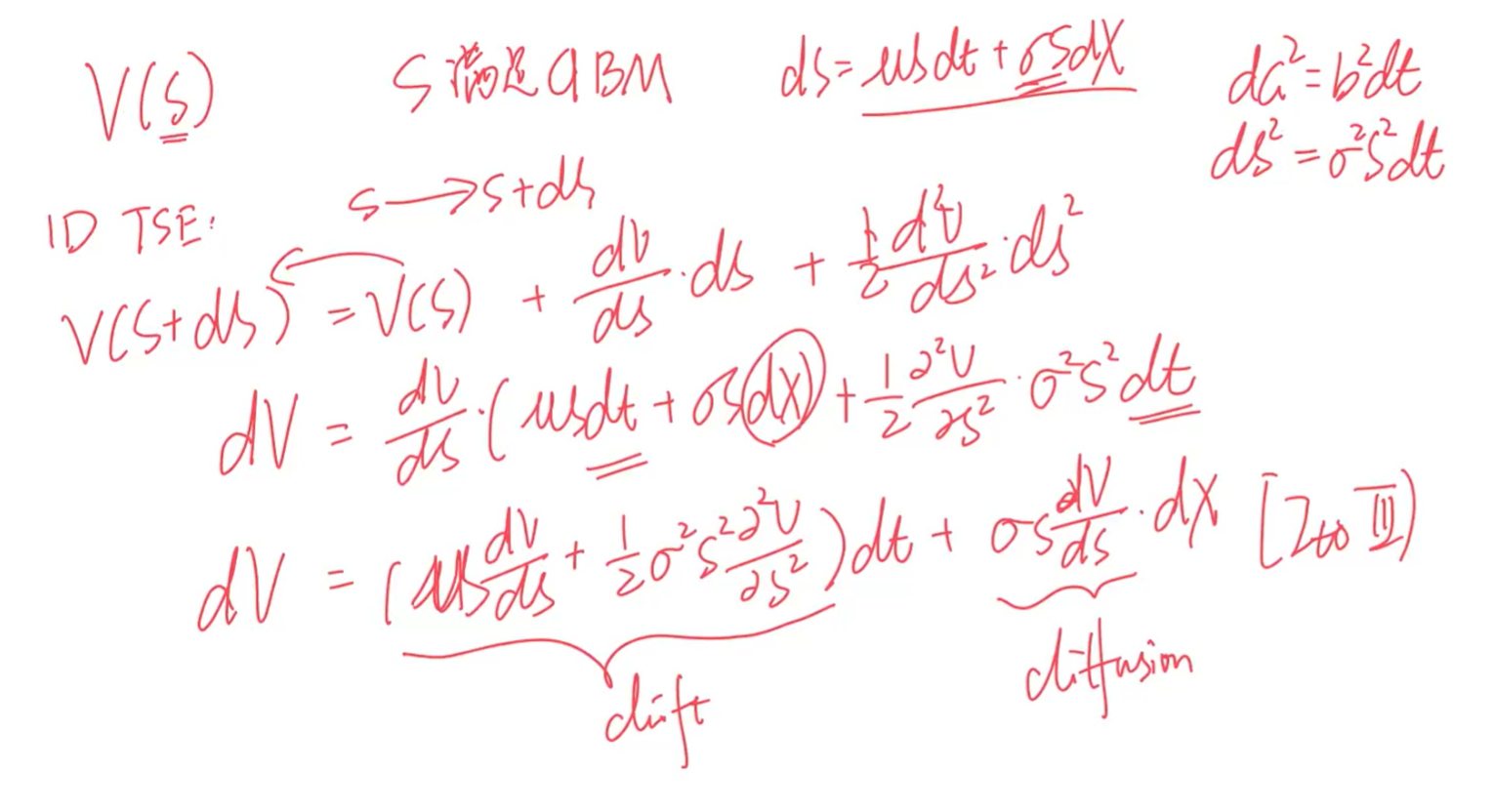
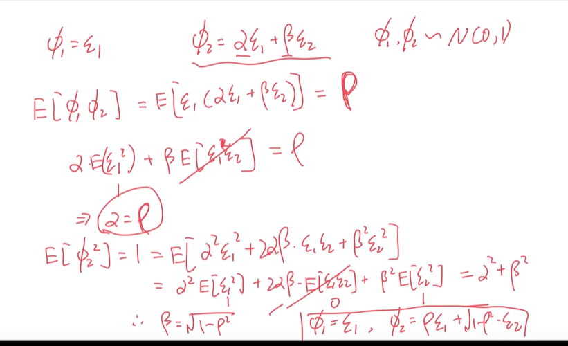
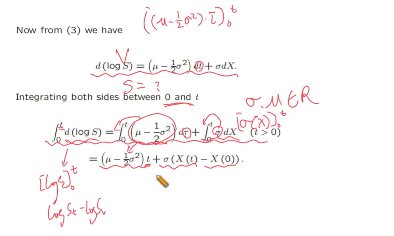
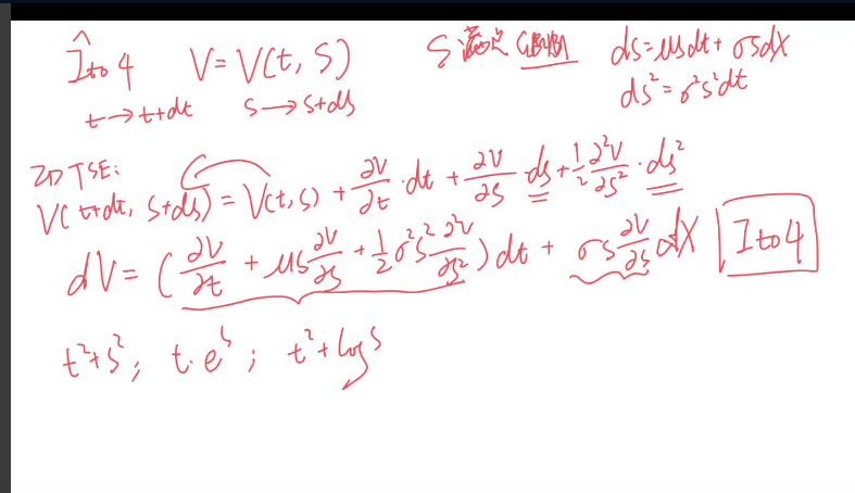
CQF M1L5 伊藤3/4/5 连续FKE BM的仿真 多因子模型

 

 

 

 

 

 

 

 

 

 

 

 

 

 

 

 

 

 

 

 

 

 

 

 

 

 

 

 

 

 

 

 

 

 

 

 

 

 

 

 

 

 

 

 

 

 

 

 

 

 

 

 

 

 

 

 

 

 

 

 

 

 

 

 

 

 

 

 

 

 

 

 

 

 

 

 

 

 

 

 

 

 

 

 

 

posted @ 2023-02-19 23:26  笨笨和呆呆  阅读(31)  评论(0)    收藏  举报