会员
众包
新闻
博问
闪存
赞助商
HarmonyOS
Chat2DB
所有博客
当前博客
我的博客
我的园子
账号设置
会员中心
简洁模式
...
退出登录
注册
登录
笨笨和呆呆
博客园
首页
新随笔
联系
订阅
管理
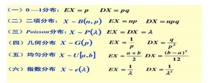
伯努利分布,0-1分布,二项分布, 泊松分布区别?
泊松分布是n趋于无穷的二项分布!!!!!!!!!
posted @
2022-09-30 11:17
笨笨和呆呆
阅读(
342
) 评论(
0
)
收藏
举报
刷新页面
返回顶部
公告