BAT机器学习面试1000题系列(11-20题)

BAT机器学习面试1000题系列(11-20题)

 

11.为什么xgboost要用泰勒展开,优势在哪里? @AntZ:xgboost使用了一阶和二阶偏导, 二阶导数有利于梯度下降的更快更准. 使用泰勒展开取得二阶倒数形式, 可以在不选定损失函数具体形式的情况下用于算法优化分析.本质上也就把损失函数的选取和模型算法优化/参数选择分开了. 这种去耦合增加了xgboost的适用性。

 

12.xgboost如何寻找最优特征?是又放回还是无放回的呢? @AntZ:xgboost在训练的过程中给出各个特征的评分,从而表明每个特征对模型训练的重要性. xgboost利用梯度优化模型算法, 样本是不放回的(想象一个样本连续重复抽出,梯度来回踏步会不会高兴). 但xgboost支持子采样, 也就是每轮计算可以不使用全部样本。

 

13.谈谈判别式模型和生成式模型? 判别方法:由数据直接学习决策函数 Y = f(X),或者由条件分布概率 P(Y|X)作为预测模型,即判别模型。 生成方法:由数据学习联合概率密度分布函数 P(X,Y),然后求出条件概率分布P(Y|X)作为预测的模型,即生成模型。 由生成模型可以得到判别模型,但由判别模型得不到生成模型。 常见的判别模型有:K近邻、SVM、决策树、感知机、线性判别分析(LDA)、线性回归、传统的神经网络、逻辑斯蒂回归、boosting、条件随机场 常见的生成模型有:朴素贝叶斯、隐马尔可夫模型、高斯混合模型、文档主题生成模型(LDA)、限制玻尔兹曼机

 

 

14.L1和L2的区别

L1范数(L1 norm)是指向量中各个元素绝对值之和,也有个美称叫“稀疏规则算子”(Lasso regularization)。
比如 向量A=[1,-1,3], 那么A的L1范数为 |1|+|-1|+|3|.
简单总结一下就是:
L1范数: 为x向量各个元素绝对值之和。
L2范数: 为x向量各个元素平方和的1/2次方,L2范数又称Euclidean范数或Frobenius范数

Lp范数: 为x向量各个元素绝对值p次方和的1/p次方.
在支持向量机学习过程中,L1范数实际是一种对于成本函数求解最优的过程,因此,L1范数正则化通过向成本函数中添加L1范数,使得学习得到的结果满足稀疏化,从而方便人类提取特征。
L1范数可以使权值稀疏,方便特征提取。
L2范数可以防止过拟合,提升模型的泛化能力。

15.L1和L2正则先验分别服从什么分布 @齐同学:面试中遇到的,L1和L2正则先验分别服从什么分布,L1是拉普拉斯分布,L2是高斯分布。

 

 

16.CNN最成功的应用是在CV,那为什么NLP和Speech的很多问题也可以用CNN解出来?为什么AlphaGo里也用了CNN?这几个不相关的问题的相似性在哪里?CNN通过什么手段抓住了这个共性? @许韩,来源:
Deep Learning -Yann LeCun, Yoshua Bengio & Geoffrey Hinton
Learn TensorFlow and deep learning, without a Ph.D.
The Unreasonable Effectiveness of Deep Learning -LeCun 16 NIPS Keynote
以上几个不相关问题的相关性在于,都存在局部与整体的关系,由低层次的特征经过组合,组成高层次的特征,并且得到不同特征之间的空间相关性。如下图:低层次的直线/曲线等特征,组合成为不同的形状,最后得到汽车的表示。

 

 

 

CNN抓住此共性的手段主要有四个:局部连接/权值共享/池化操作/多层次结构。
局部连接使网络可以提取数据的局部特征;权值共享大大降低了网络的训练难度,一个Filter只提取一个特征,在整个图片(或者语音/文本) 中进行卷积;池化操作与多层次结构一起,实现了数据的降维,将低层次的局部特征组合成为较高层次的特征,从而对整个图片进行表示。如下图:

 

 

 

17.说一下Adaboost,权值更新公式。当弱分类器是Gm时,每个样本的的权重是w1,w2...,请写出最终的决策公式。

给定一个训练数据集T={(x1,y1), (x2,y2)…(xN,yN)},其中实例

,而实例空间

,yi属于标记集合{-1,+1},Adaboost的目的就是从训练数据中学习一系列弱分类器或基本分类器,然后将这些弱分类器组合成一个强分类器。

Adaboost的算法流程如下:

步骤1. 首先,初始化训练数据的权值分布。每一个训练样本最开始时都被赋予相同的权值:1/N。

 

 

 

步骤2. 进行多轮迭代,用m = 1,2, ..., M表示迭代的第多少轮

a. 使用具有权值分布Dm的训练数据集学习,得到基本分类器(选取让误差率最低的阈值来设计基本分类器):

 

 

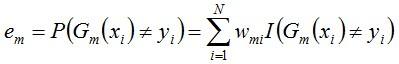
b. 计算Gm(x)在训练数据集上的分类误差率

 

 

由上述式子可知,Gm(x)在训练数据集上的误差率em就是被Gm(x)误分类样本的权值之和。

c. 计算Gm(x)的系数,am表示Gm(x)在最终分类器中的重要程度(目的:得到基本分类器在最终分类器中所占的权重):

 

 

 

由上述式子可知,em <= 1/2时,am >= 0,且am随着em的减小而增大,意味着分类误差率越小的基本分类器在最终分类器中的作用越大。

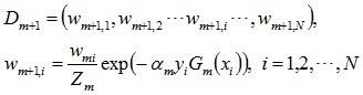
d. 更新训练数据集的权值分布(目的:得到样本的新的权值分布),用于下一轮迭代

 

 

使得被基本分类器Gm(x)误分类样本的权值增大,而被正确分类样本的权值减小。就这样,通过这样的方式,AdaBoost方法能“重点关注”或“聚焦于”那些较难分的样本上。

其中,Zm是规范化因子,使得Dm+1成为一个概率分布:

 

 

步骤3. 组合各个弱分类器

 

 

 

从而得到最终分类器,如下:

 

 

更多请查看此文:

 

18.LSTM结构推导,为什么比RNN好? 推导forget gate,input gate,cell state, hidden information等的变化;因为LSTM有进有出且当前的cell informaton是通过input gate控制之后叠加的,RNN是叠乘,因此LSTM可以防止梯度消失或者爆炸

 

19.经常在网上搜索东西的朋友知道,当你不小心输入一个不存在的单词时,搜索引擎会提示你是不是要输入某一个正确的单词,比如当你在Google中输入“Julw”时,系统会猜测你的意图:是不是要搜索“July”,如下图所示:

 

这叫做拼写检查。根据谷歌一员工写的文章()显示,Google的拼写检查基于贝叶斯方法。请说说的你的理解,具体Google是怎么利用贝叶斯方法,实现"拼写检查"的功能。

用户输入一个单词时,可能拼写正确,也可能拼写错误。如果把拼写正确的情况记做c(代表correct),拼写错误的情况记做w(代表wrong),那么"拼写检查"要做的事情就是:在发生w的情况下,试图推断出c。换言之:已知w,然后在若干个备选方案中,找出可能性最大的那个c,也就是求

的最大值。
而根据贝叶斯定理,有:

 

由于对于所有备选的c来说,对应的都是同一个w,所以它们的P(w)是相同的,因此我们只要最大化

即可。其中:

P(c)表示某个正确的词的出现"概率",它可以用"频率"代替。如果我们有一个足够大的文本库,那么这个文本库中每个单词的出现频率,就相当于它的发生概率。某个词的出现频率越高,P(c)就越大。比如在你输入一个错误的词“Julw”时,系统更倾向于去猜测你可能想输入的词是“July”,而不是“Jult”,因为“July”更常见。

P(w|c)表示在试图拼写c的情况下,出现拼写错误w的概率。为了简化问题,假定两个单词在字形上越接近,就有越可能拼错,P(w|c)就越大。举例来说,相差一个字母的拼法,就比相差两个字母的拼法,发生概率更高。你想拼写单词July,那么错误拼成Julw(相差一个字母)的可能性,就比拼成Jullw高(相差两个字母)。值得一提的是,一般把这种问题称为“编辑距离”,参见

所以,我们比较所有拼写相近的词在文本库中的出现频率,再从中挑出出现频率最高的一个,即是用户最想输入的那个词。具体的计算过程及此方法的缺陷请参见

 

20.为什么朴素贝叶斯如此“朴素”? 因为它假定所有的特征在数据集中的作用是同样重要和独立的。正如我们所知,这个假设在现实世界中是很不真实的,因此,说朴素贝叶斯真的很“朴素”。

编辑于 2017-11-07 22:49
求职BAT
人工智能算法
机器学习
 

推荐阅读

BAT机器学习面试1000题系列(第1~10题)

BAT机器学习面试1000题系列(第1~10题)

BAT机器学习面试1000题系列(41-45题)

七月在线双十一活动太火爆,导致昨天忘记发题给大家!鞠躬!检讨! 想换本,换键盘的可以进会场试试手气;当然,很多课程11.10-11.12期间限时免费送 双11三天11.10~11.12大狂欢:大奖直抽Ma…

BAT机器学习面试1000题系列(21-30题)

21.请大致对比下plsa和LDA的区别pLSA中,主题分布和词分布确定后,以一定的概率( 、 )分别选取具体的主题和词项,生成好文档。而后根据生成好的文档反推其主题分布、词分布时,最终用EM算…

今日面试题分享:overfitting怎么解决?

今日面试题分享:overfitting怎么解决?

10 条评论

  • 富光八百
    富光八百2018-03-09
    11和12都错了啊...任何算法都会泰勒展开...损失函数跟优化过程本来都分开的....重复用一个样本梯度怎么可能来回踏步...最多朝着一个方向逐渐减少到0....接下来就没咋看了
  • 知乎用户知乎用户2018-02-17
    xgb是boosting模型,如果不设置子采样的话就没有放不放回这一说吧。
  • 知乎用户知乎用户2017-11-05
    BAT机器学习面试只考xgboost吗?还是说可以自己选择?完全没学过这个。。。
  • trader000723
    trader0007232017-11-04

    跪谢

  • 知乎用户知乎用户2017-11-03

    hi,1-10题在哪?

  • 七月在线 七仔
    七月在线 七仔 (作者) 回复知乎用户2017-11-07

    你好,1~10题在这哦:BAT机器学习面试1000题系列(第1~10题),很快会收录到一个统一的专栏里,欢迎小伙伴们多多转发推荐

  • 知乎用户知乎用户回复七月在线 七仔 (作者)2017-11-08
    真的有1000题吗😂
  • 知乎用户知乎用户2017-11-03

    很受用,能快速温习。

  • 楚天飞
    楚天飞2017-11-03
    赞一个!