第三章
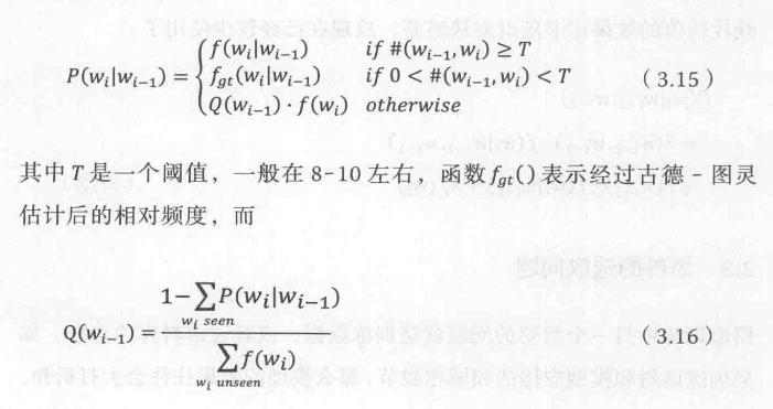
对古德-图灵估计公式的理解:

当出现otherwise的情况时:对Q(w(i-1))公式中的f(wi)的求和是指对所有发现语料库中的未知词语的概率求和,而p(wi|w(i-1))中的f(wi)是指该单个未知词的个数概率。
知乎有一个评论应该有助于理解:古德-图灵公式

其中zero函数中wi代表着公式中的w(i-1),wj代表着公式中的wi;
第三行的word_j即为word_i_j向右平移一位表示后面得词。

第三章对古德-图灵估计公式的理解: 知乎有一个评论应该有助于理解:古德-图灵公式
|