SSD1306指令集
注意:本文转载、整理自博客:https://blog.csdn.net/notMine/article/details/79317782
- 2021.9.20:以Markdown格式重新发布
1. 基本命令
00h~0Fh:页地址模式下设置列起始地址低位
00h~0Fh:Set Lower Column Start Address For Page Addressing Mode,此指令用于在页地址模式下设置GDDRAM的列起始地址(8位)的低4位, 页地址会在数据访问后递增
10h~1Fh:页地址模式下设置列起始地址高位
10h~1Fh:此指令用于在页地址模式下设置GDDRAM的列起始地址(8位)的高4位, 页地址会在数据访问后递增。**
20h:设置内存地址模式
20h:在SSD1306中有三种地址模式: 页地址模式, 水平地址模式和垂直地址模式, 此命令用于将地址模式设置为以上三种之一:
- 页地址模式(A[1:0]=10b)
当处于此模式时, 在GDDRAM访问后(读/写), 列地址指针将自动增加1。如果列地址指针到达列终止地址, 列地址指针将复位到列起始地址, 但页地址指针不会改变。
为了访问GDDRAM中下一页的内容, 用户必须设置新的页地址和列地址。页地址模式下页以及列地址指针的行为如下图所示 :

通常在页地址模式下访问GDDRAM, 需要如下步骤来定义起始RAM访问指针指向:
- 通过命令(B0h-B7h)设置目标显示位置页起始地址
- 通过命令(00h-0Fh)设置列起始地址低位
- 通过命令(10h-1Fh)设置列起始地址高位
例如, 如果页地址是B2h, 列地址低位是03h, 列地址高位是10h, 起始列将为PAGE2的SEG3, GDDRAM访问指针的指向如下图所示:

- 水平地址模式(A[1:0]=00b)
当处于此模式时, 在GDDRAM访问后(读/写), 列地址指针将自动增加1。如果列地址指针到达列终止地址, 列地址指针将复位到列起始地址, 且页地址指针将自动增加1。
水平地址模式下页以及列地址指针的行为如下图所示, 如果列地址指针和页地址指针都到达各自的终止地址时, 他们都将复位到各自的起始地址。(图中虚线)

- 垂直地址模式(A[1:0]=01b)
当处于此模式时, 在GDDRAM访问后(读/写), 页地址指针将自动增加1。如果页地址指针到达页终止地址, 页地址指针将复位到页起始地址, 且列地址指针将自动增加1。
垂直地址模式下页以及列地址指针的行为如下图所示, 如果列地址指针和页地址指针都到达各自的终止地址时, 他们都将复位到各自的起始地址。(图中虚线)

通常在(垂直/水平)地址模式下访问GDDRAM, 需要如下步骤来定义起始RAM访问指针指向:
-
通过命令(21h)设置目标显示位置列起始地址以及列终止地址
-
通过命令(22h)设置目标显示位置页起始地址以及页终止地址
21h:设置列地址
21h:此指令用于设置GDDRAM的列起始地址和列结束地址, 并使列地址指针(指向GDDRAM中当前访问的列地址)指向列起始地址。
若内存地址模式为水平地址模式, 在访问一列数据后, 列地址指针将增加到下一个列地址。当结束访问终止列地址时, 列地址指针将复位至列起始地址, 且行地址指针将增加到下一行。
22h:设置页地址
22h:此指令用于设置GDDRAM的页起始地址和页结束地址, 并使页地址指针(指向GDDRAM中当前访问的页地址)指向页起始地址。
若内存地址模式为垂直地址模式, 在访问一页数据后, 页地址指针将增加到下一个页地址。当结束访问终止页地址时, 页地址指针将复位至页起始地址。
下图展示了例子中列地址指针和页地址指针的移动方式: 列起始地址设为2, 列终止地址设为125, 页起始地址设为1, 页终止地址设为6, 并使用水平地址模式。在此情况下, GDDRAM数据可范围范围在列2-列125, 页1-页6之内。同时列地址指针被设为2, 页地址指针被设为1。在访问数据后, 列地址自动增加1, 以访问下一数据(图中实线)
当结束访问终止列地址(125)时, 列地址指针复位到列2, 页地址指针自动增加1(图中实线), 当访问终止页地址6和终止列地址125所在数据后, 页地址指针复位到1, 列地址指针复位到2(图中虚线)

40h-7Fh:设置屏幕起始行
40h-7Fh:此命令用于设置屏幕起始行寄存器以设置GDDRAM起始地址, 取值范围为[0, 63]。若值为0, 则RAM第0行映射至COM0, 若值为1, 则RAM第1行映射到COM0, 以此类推。
81h:设置对比度
81h:此命令用于设置屏幕对比度。此芯片有256级对比度(从00h至FFh)。段输出电流和对比度值同增同减。
A0h/A1h:设置段重映射
A0h/A1h:此指令用于改变屏幕数据列地址和段驱动器间的映射关系, 这增强和OLED模块设计的可伸缩性。
此命令只影响其后的数据输入, 已存储在GDDRAM中的数据将保持不变。
-
A0:左右反置
-
A1:正常
A4h/A5h:全屏点亮
A4h/A5h:令A4h启用输出GDDRAM中的数据。如果命令A5h已被调用, 通过A4h指令, 可以将屏幕显示从全屏点亮状态中恢复。
命令A5h通过忽略GDDRAM中的数据以点亮全屏
-
A5:点亮所有像素
-
A4:恢复正常模式
A6h/A7h:设置正常/反转显示
A6h/A7h:此命令用于设置显示是否反转, 正常模式下, RAM中的数据1表示点亮像素; 在反转模式下, RAM中的数据0表示点亮像素
-
A7:反选
-
A6:正常
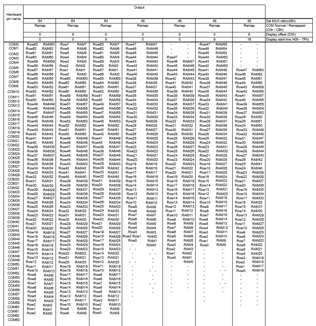
A8h:设置复用率
A8h:此命令用于将默认的63复用率更改至任何范围为[16, 63]的值, COM0~COM64输出将切换到正确的输出信号
AEh/AFh:设置屏幕开启/关闭
AEh/AFh:此指令用于开启或关闭OLED屏幕。当屏幕开启时, 设置主机配置命令(Set Master Configuration)选择的电路将被连通。当屏幕关闭时, 这些电路将被断开, 且段和公共的输出都被分别置为Vss和高阻态。
此指令设置屏幕状态为以下二者的其中之一:
-
AE:关闭屏幕
-
AF:开启屏幕

页地址模式下设置页起始地址
此指令用于设置在页地址模式下GDDRAM的页起始地址, 取值范围为[0, 7]
C0h/C8h:设置列输出扫描方向
C0h/C8h:此指令用于设置列输出的扫描方向, 增强了OLED模块设计的布局的伸缩性。
注意, 此指令会立即生效。例如当屏幕正常显示时调用此指令, 屏幕将会立刻垂直翻转。
D3h:设置显示偏移
D3h:此命令为双字节命令, 第二个字节用于设置屏幕起始行为COM0~COM63之一(假设COM0为屏幕起始行, 那么屏幕起始行寄存器值为0)
例如:要使COM16向COM0方向移动16行, 第二个字节的值应该为010000b; 向COM0相反方向移动16行, 第二个的值应该为64-16, 即100000b, 下表展示了调用指令C0h/C8h和D3h的例子





D5h:设置显示时钟分频值/震荡频率
D5h:此指令包括两个功能:
-
设置显示时钟分频值(D)(A[3:0])。由于设置从CLK分频得到的DCLK(显示时钟, Display clock)的分频值, 分频值取值范围为[1, 16], 初始值为1, (Please refer to Secion 8.3 for more details)
-
设置震荡频率(A[7:4])。如果CLS脚被拉高, 可用于编程震荡频率。 默认值为1000b
D9h:设置预充电周期
D9h:此指令用于设置预充电周期的时长, 此周期单位为一DCLK的周期, 复位值为2 DCLK
DAh:设置列引脚硬件配置
DAh:此指令用于设置列信号引脚配置来适应OLED面板的硬件布局。下表展示了在不同条件下的列引脚配置效果。(图中芯片金手指向上)
DBh:设置VCOMH反压值
DBh:此指令用于调整VCOMH输出
E3h:空指令
E3h:不产生作用的指令
读取状态寄存器
在读取数据时将D/C#拉低以调用此指令, MCU可用此指令读取芯片内部状态。
2. 图形加速命令
26h/27h:水平滚动配置
26h/27h:此指令用于配置水平滚动参数和确定滚动起始页、终止页和滚动速度。
注意:水平滚动需要在调用此命令前禁用(2Eh), 否则RAM中的内容将会出错
SSD1306的水平滚动设计来为128列滚动, 以下是使用水平滚动的例子。
- 向右滚动一列

- 向左滚动一列

- 水平滚动配置例子

29h/2Ah:垂直和水平滚动配置
29h/2Ah:此指令用于配置垂直和水平滚动参数和确定滚动起始页、终止页、滚动速度和垂直滚动偏移。
B[2:0], C[2:0], D[2:0]用于配置垂直滚动, E[5:0]用于配置垂直滚动偏移, 所有这些字节用于设置斜线(Diagonal, 垂直滚动+水平滚动)
如果垂直滚动偏移为0, 那么只将发生水平滚动(和命令26/27h一样)
注意:滚动需要在调用此命令前禁用(2Eh), 否则RAM中的内容将会出错。
以下是使用垂直和水平滚动的例子:

2Eh:禁用滚动
2Eh:此指令用于停止滚动, 在调用命令2Eh后, RAM的数据需要被重写
2Fh:启用滚动
2Fh:此指令用于启动滚动, 并且只能在滚动配置参数经过调用命令26h/27h/29h/2Ah后调用。最后调用滚动参数命令时的配置将覆盖之间调用过时设置的配置
以下操作会在启用滚动后被禁止:
-
对RAM的访问
-
改变水平滚动配置参数
A3h:设置垂直滚动区
A3h:此指令用于设置垂直滚动区, 对于垂直滚动功能(29/2Ah), 垂直滚动的行数可以大于或小于复用率(MUX ratio)

浙公网安备 33010602011771号