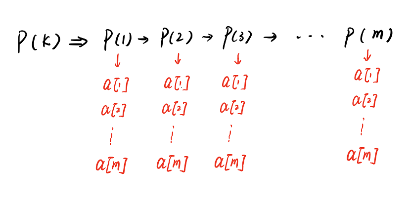
组合排列问题:复杂度为O(m*n)实现原理:递归,这种做法有点类似于遍历,就是k不断从1增长到m,每一个p(k)又从a[1]到a[n]中去遍历。其实在复杂度上面递归并没有提升效率,和双重循环递推一样的。但是更易于理解,可读性强,代码少。看下一张图可能能加深理解(红色的m改成n,写错了)。

/* 全排列问题
从n中选m个数按照字典排序
*/
#include<iostream>
#include<vector>
#include<algorithm>
#include<cstring>
int s=0;int m,n;int a[100];
using namespace std;
int main()
{
int P(int k); //k从 1 一直增长到 m ,k表示排列的第k个数
cin>>n>>m;
P(1);
return 0;
}
int P(int k)
{
if(k>m) //如果 k 要比m还要长则停止递归
return s;
for(int i=1;i<=n;i++)
{
a[k]=i;
int flag=0;
for(int j=1;j<=k-1;j++) //这里表示 每一位例如第2位 要试探n个数,前面出现的就不要。
{
if(a[k]==a[j])
{
flag=1;
break;
}
}
if(flag==0) //flag==1 表示前面已经用了那个数,就不能用了。
{
if(k==m) // 当k已经到了第m位,那就要输出这个全排列了
{
for(int i=1;i<=m;i++)
{
printf("%d",a[i]);
}
printf("\n");
s++; //s统计排列个数
}
else
P(k+1); //k还没到达m位,那就继续寻找下一位。
}
}
}