如何判断一维数据集服从何种分布
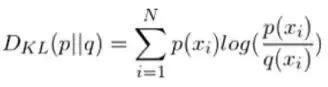
KL散度
KL 散度是一种衡量两个概率分布的匹配程度的指标,两个分布差异越大,KL散度越大。
定义:
其中 p(x) 是真实分布,q(x)是目标分布(建模目标分布),如果两个分布完全匹配,那么
第一组:数据集为采集100个人的年龄,为以下表格所示,我们使用KL散度去研究最符合的分布类型。
| age | 0 | 1 | 2 | 3 | 4 | 5 | 6 | 7 | 8 | 9 | 10 | 总数 |
| count | 3 | 6 | 7 | 11 | 13 | 18 | 15 | 11 | 7 | 5 | 4 | 100 |
尝试1:使用均匀分布建立模型
可视化为:黄色的为建立的目标均匀分布模型,与蓝色真实分布的对比。

尝试2:使用高斯分布建立模型
可视化为:(红色虚线是相同与
拟合的一条正态分布曲线,蓝色条形图为概率密度):

计算分析 :
如何判断真实分布更接近均匀分布还是高斯分布,用肉眼看是很不准确的,用KL散度来衡量真实分布去匹配目标分布所损失的信息量。所以能够将模型量化去比较从而判断出接近哪种分布。
1、计算与均匀分布的KL散度:
import numpy as np
import math
count=np.array([3,6,7,11,13,18,15,11,7,5,4])
count_rate=count/100
balance_rate=1/11
sum=0
for i in range(11):
sum+=count_rate[i]*math.log(count_rate[i]/balance_rate)
print(sum)
计算结果为:0.12899493763053263
2、计算与高斯分布的KL散度:
def gaosi(x):
mu=5.03
sigma=2.4349743325135895
t1=1/(sigma*math.sqrt(2*math.pi))
t2=((x-mu)**2)/(2*sigma*sigma)
return math.exp(-1*t2)*t1
count=np.array([3,6,7,11,13,18,15,11,7,5,4])
count_rate=count/100
sum=0
for i in range(11):
sum+=count_rate[i]*math.log(count_rate[i]/gaosi(i))
print(sum)
计算结果为:0.03997441345364968
结论:
在只考虑均匀分布模型与高斯分布模型的情况下,用本身去拟合目标模型时,匹配高斯分布所损失的信息量最少,计算发现该数据集的分布更符合高斯分布。

浙公网安备 33010602011771号