【NOIP2016提高A组模拟9.15】Osu
题目
分析
考虑二分答案,
二分小数显然是不可取的,那么我们将所有可能的答案求出来,记录在一个数组上,排个序(C++调用函数很容易超时,手打快排,时间复杂度约为\(O(>8*10^7)\),但相信梦想的力量)。
剩下就简单了,将二分出的值判断是否可以获得k分以上,
这里可以用多种方法,spfa、dp
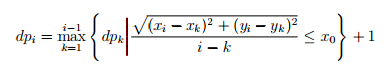
dp:
\(dp_i\)表示移动到了第i个点的最大分数
#include <cmath>
#include <iostream>
#include <cstdio>
#include <cstdlib>
#include <cstring>
#include <algorithm>
#include <queue>
const long long maxlongint=2147483647;
const long long mo=1000000007;
const long long N=2005;
using namespace std;
long long ans,a[N][3],n,m,tot,f[N];
double sum[N][N];
struct ddx
{
long long a,b,c;
double ans;
}d[N*N];
double cale(ddx x)
{
return 1.0*x.a*sqrt(x.b)/x.c;
}
bool cmp(ddx x,ddx y)
{
return x.ans<y.ans;
}
void q(int l,int r)
{
int i=l,j=r,e1;
double mid=d[(l+r)/2].ans;
double e;
while(i<j)
{
while(d[i].ans<mid) i++;
while(d[j].ans>mid) j--;
if(i<=j)
{
e1=d[i].a;
d[i].a=d[j].a;
d[j].a=e1;
e1=d[i].b;
d[i].b=d[j].b;
d[j].b=e1;
e1=d[i].c;
d[i].c=d[j].c;
d[j].c=e1;
e=d[i].ans;
d[i].ans=d[j].ans;
d[j].ans=e;
i++;
j--;
}
}
if(i<r) q(i,r);
if(l<j) q(l,j);
}
bool ok(double x)
{
memset(f,0,sizeof(f));
for(long long i=1;i<=n;i++)
{
for(long long j=0;j<=i-1;j++)
{
if(sum[i][j]<=x)
{
f[i]=max(f[i],f[j]+1);
}
}
if(f[i]>=m)
return true;
}
return false;
}
long long gcd(long long x,long long y)
{
return x==0?y:gcd(y%x,x);
}
int work(int x)
{
for(long long i=sqrt(d[x].b);i>=1;i--)
{
if(d[x].b%(i*i)==0)
{
d[x].b/=i*i;
d[x].a*=i;
break;
}
}
long long k=gcd(d[x].a,d[x].c);
if(!k) return 0;
d[x].a/=k;
d[x].c/=k;
}
double rf(long long l,long long r)
{
while(l<r)
{
long long mid=(l+r)/2;
if(ok(d[mid].ans))
r=mid;
else
l=mid+1;
}
work(l);
printf("%lld %lld %lld",d[l].a,d[l].b,d[l].c);
}
int main()
{
scanf("%lld%lld",&n,&m);
for(long long i=1;i<=n;i++)
for(long long j=0;j<=2;j++)
{
scanf("%lld",&a[i][j]);
}
for(long long i=0;i<=n-1;i++)
for(long long j=i+1;j<=n;j++)
{
d[++tot].a=1;
d[tot].b=(a[j][1]-a[i][1])*(a[j][1]-a[i][1])+(a[j][2]-a[i][2])*(a[j][2]-a[i][2]);
d[tot].c=a[j][0]-a[i][0];
d[tot].ans=cale(d[tot]);
sum[i][j]=sum[j][i]=d[tot].ans;
}
q(1,tot);
rf(1,tot);
}

浙公网安备 33010602011771号