堆排序
堆排序
堆从根节点上是否比子节点的数值上更大从而分为大根堆和小根堆。
而从结构又分为,满二叉树和完全二叉树。
满二叉树是每个根节点都有两个子节点。
完全二叉树则是在最后一层从左到右依次存在节点,可以空缺。但是除了最后一层外,其余层都不能空缺。

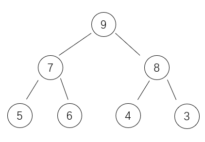
满二叉树(大根堆)

完全二叉树(最后一层可以有空缺,但是左边一定要依次填满)
建立堆
def sift(li, low, high):
temp = li[low]
i = low
j = 2*i+1
while j <= high:
if j+1 < high and li[j+1]>li[j]:
j += 1
if li[j] > temp:
li[j], temp = temp, li[j]
i = j
j = 2 * i +1
else:
break
else:
li[i] = temp
def heap(li):
n = len(li)
# 1、建立堆
for i in range((n-2)//2, -1, -1): # 循环每一个小节点
sift(li, i, n) # 针对每一个小节点排序
# 2、排序出数
for i in range(n-1, -1, -1): #
li[i], li[0] = li[0], li[i]
sift(li, 0, i-1)

浙公网安备 33010602011771号