03_浮点数的秘密
浮点数的秘密
1、内存中的浮点数表示方法
浮点数在内存中的存储方式为:符号位、指数、尾数(小数)

2、浮点数存储示例
举例:实数8.25在内存中的表示

3、编程验证
#include <stdio.h>
int main()
{
float f = 8.25;
unsigned int* p = (unsigned int*)&f;
printf("0x%08X\n", *p);
return 0;
}
输出结果为:

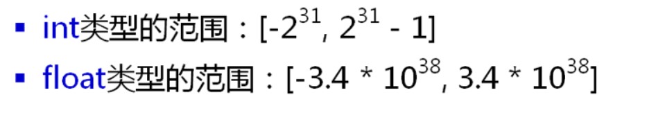
4、int类型与float类型比较
思考:int和float都占四个字节,为什么范围不一样?

5、编程验证
#include <stdio.h>
int main()
{
float f = 3.1415f;
float fl = 123456789;
printf("%0.10f\n", f);
printf("%0.10f\n", fl);
return 0;
}
输出结果为:

6、小结

<wiz_tmp_tag id="wiz-table-range-border" contenteditable="false" style="display: none;">

浙公网安备 33010602011771号