滤波器设计 微波基本理论 腔体滤波器设计 couplefil(CST) AWR HFSS
滤波器分类
集总参数滤波器
微带线、带状线滤波器
波导滤波器
介质滤波器
同轴腔体滤波器(重点介绍)
微波射频基本概念
传输线衰减
传输线衰减分为导体损耗以及介质损耗两大类。
Q值在一定程度上反应了损耗的大小。(最基本的Q值品质因子计算公式是Q = Estored / E lost per cycle, 而对于射频电路来说, Q = F0 / F3db.)
Qc = ωL/R 导体损耗
Qd = 1/(tanσ) 介质损耗正切角
总的Q值:
1/Q = 1/Qc + Qd
TEM横电磁波-双导线
TEM波(Transverse Electromagnetic Wave)是指电磁波的电场和磁场都在垂直于传播方向的平面上的一种电磁波。
类似双导线的传输方式都会以TEM或类似TEM的形式传输能量。如微带线,带状线,同轴线缆。
同轴线特性
内径为d,外径为D的同轴线。如图所示

以铜质损耗为例,引起的衰减决定了Q值。当D=3.6* d 时存在最小衰减。
此时特性阻抗为76.8/√ε。
同轴线谐振腔特性
分为半波长同轴腔(两端短路),4分波长同轴腔(一端开路,一端短路),以及加电容4分波长谐振腔。
工作在TEM模,不出现高次模。
TE/TM - 波导传输 (空心导管)
TE波:在电磁波的传播方向上不存在电场分量,但存在磁场分量,称这种电磁波为横电波。电磁场分量有Ey, Hx, Hz,传播方向为z方向。
TM波:在传播方向上无磁场分量而有电场分量,称为横磁波。电磁场分量有Hy, Ex, Ez,传播方向为z方向。
矩形波导
可以存在无限多个 TMmn 模,波型指数m,n分别表示电磁场沿波导宽边a和窄边b 的驻波最大值的个数,m,n=1,2,… 最简单的是TM11模。
同样,还可以存在无限多个 TEmn模,m,n=0,1,2,…但不能同时为零。矩形波导中的最低模式是TE10模,其截止波长最长λ=2a
波导加入膜片销钉
等效为并联电容以及电感
波导小孔耦合
使用绕射理论分析理解能量传输
奇偶模分析
对于磁力线,常见的为偶对称。激励也称为偶模激励。中间对称面称为磁壁。

对于电力线,常见为奇对称,激励称为奇模激励。

交叉耦合理论
传统耦合谐振器滤波器设计中滤波器源端仅与第一个谐振器耦合,负载端与第N个谐振器耦合。
N为滤波器的阶数。该耦合拓扑结构最多能实现N-2个有限频率传输零点。
腔体滤波器通过在各腔谐振器之间开孔或加探针,实现电感或电容耦合通过改变孔的位置、大小或者探针的粗细、长短等来控制耦合电感或电容的强弱以实现各种滤波器;而且很容易实现谐振器之间的交叉耦合,通过控制交叉耦合的数量和强弱得以实现传输零点的位置和数目。
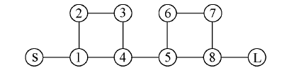
拓扑结构(环形)
CT结构(三角):以3个腔为一组实现一个零点。

CQ结构(矩形):以4个腔为一组实习一个零点

相邻两个耦合腔及等效示意图

等效的示意图为:

理想低通滤波器:
巴特沃斯滤波器
幅度响应在通带中最平坦,整体上是单调的。这种平滑是以降低滚降陡度为代价的。
椭圆和切比雪夫滤波器通常为给定的滤波器阶数提供更陡峭的滚降。
一阶巴特沃斯滤波器的衰减率为每倍频6dB,每十倍频20DB。二阶巴特沃斯滤波器的衰减率为每倍频12dB、三阶巴特沃斯滤波器的衰减率为每倍频18dB、如此类推。

![]()
设计滤波器时,将传输函数级数展开得到n阶的零极点传输函数离散表达式来进行数字域的滤波器设计。
具体底层算法本处略。
以matlab设计滤波器为例:
在matlab中使用函数 [b,a] = butter(n,Wn) 生成数字滤波器传输函数的多项式。
- 其中Wn是归一化的截止频率(具体为fc/fs/2 幅值下降3dB点,同1/sqrt(2)),n为滤波器阶数。
- b,a为传输函数系数,a为分母多项式系数,b为分子多项式系数。长度为n+1.
- H(z)=B(z)/A(z)=b(1)+b(2) *z−1+⋯+b(n+1) *z−n / a(1)+a(2) *z−1+⋯+a(n+1) *z−n
>> [b,a] = butter(2,0.5) b = 0.2929 0.5858 0.2929 a = 1.0000 -0.0000 0.1716
>> freqz(b,a)

若要生成模拟的滤波器系数
>> [b,a] = butter(2,0.5,'s') b = 0 0 0.2500 a = 1.0000 0.7071 0.2500 >> freqs(b,a)

此时观察系数可以发现为了系统稳定性,只选取了实部为负数的极点,多项式分子只有常数项。
同轴腔体滤波器设计与仿真实例
设计流程:

1.滤波器设计指标如下:
频段: 2515-2675MHz
带内插损:< 1dB
带内回波: < -20dB
带外抑制: @2495MHz < -20dB
@2695MHz <-20dB
@2483.5MHz < -35dB
2.滤波器结构预估:
使用couplfil,点击指标,设置相应的指标。点击图像,观察生成的S参数。

点击结构查看实现的结构:

查看生成的耦合矩阵:

查看具体的系数说明:

AWR分析仿真
使用AWR来仿真分析各个参数对S21,S11的影响,方便在HFSS调试中,识别出对应的参数进行调整优化。
由于AWR tuning可以实时响应。比较便捷。
这里为了简略,以一个3阶滤波器为例:
下图为CST(基本同couplefil)

在AWR中构建3个 LC谐振单元,1/4波长传输线等效耦合(具体耦合理论参见现代微波结构等书籍或论文不作描述),来完成原理图设计,如下图:

其频率响应S21(蓝色),S11(粉色), 如下图

分别去调整tuning 中间谐振单元频率 ,和前后谐振单元频率,两侧耦合系数,以及外部Q值观察对应的响应曲线变化。

其中发现,当中间谐振频率(F2=2608MHz)高于两侧(F1=F3=2593MHz)时,S11 会在低频出现两个谷值。如下图,

当中间谐振频率(F2=2593MHz)低于两侧(F1=F3=2608MHz)时,S11 会在低频出现两个谷值。

当中间谐振频率(F2=2608MHz)等于两侧(F1=F3=2608MHz)并同时偏高时,滤波器S11 在中心会偏高设计值2593MHz,移动到2608MHz。

同理可以分析谐振器间耦合系数强度带来的影响。此处不在详述。结论是,耦合强,带宽增大(此处相对设计值,注意设计时总体而言强耦合带宽大,s11也表现好,但不陡峭),S11恶化,耦合强,带宽减小,S11变好(相对设计值)。
端口耦合与上表现相反。
HFSS分析仿真
仿真结构
使用6极虹膜耦合,同轴腔体结构的滤波器。此设计使用带电容端的同轴谐振器负载和电容调谐螺钉。
腔是虹膜耦合的,三个三回路交叉耦合是用于引入三个传输零点。滤波器调谐到 5GNR 频段 N41 ,2.595GHz 中心频率。
模型
谐振器和螺钉被建模为完美导体;外部建模为真空。
这些可以修改为有损材料,但求解时间略有增加。
所有变量都有一个设计属性中的描述。相对坐标系使用以下方法生成滤波器拓扑变量 res_sepN 和 Euler 角。
滤波器的精确调谐是通过每个谐振器的调整螺钉深度和每个虹膜的宽度。 I/O 耦合由抽头高度控制。
激励
在每一端定义单模波端口。它们是同轴传输线端口。
谐振单元仿真
单腔谐振频率由公式决定:
理论上:
- 频率越高,单腔尺寸越小,频率越低,单腔尺寸越大;
- L跟谐振杆的尺寸密切相关。谐振杆越细越长,L越大,频率越低;谐振杆越粗越短,L越小,则频率越高;
- 谐振杆与盖板之间产生电容,螺杆与谐振杆之间产生电容,谐振杆与盖板距离越小,C越大,频率越低;谐振杆顶部的头越大,C越大,频率越低,螺钉越深入电容C越大,频率越低。
- 初始腔体高度采用中心频率波长的八分之一,中心频率2.6GHz,波长115mm,那么腔体高度为15mm。谐振杆直径取 5mm,腔体边长取16mm,一般边长直径比的范围是2~4,这个范围内都能保持腔体较高的Q值。
1. 单击工程右键,修改“solution type”为eigenmode 本征模式。仿真谐振单元的频点。
2.建立谐振单元模型,由调谐螺钉(材料PEC),空气腔(边界perfect E),以及金属腔(材料PEC)构成。下端金属短路,上端开路与调谐螺钉结合形成容性可调。

3.仿真分析设置
添加analysis setup
最小频率设置为0.2GHz。模式设置为3.
4.查看结果
右键单击Results,执行命令solution data。

5.添加扫描变量inner_ht ,设置螺钉下降高度为0,排除螺钉影响,扫描螺杆槽高度,根据谐振频率来确定合适的高度值。


获得当为1.4cm时,频率在2.6GHz.同理扫描腔体高度,最后扫描螺丝深度如下:

修改螺钉为直径2mm的M2。然后去除螺钉影响设置深度为0.1cm.仿真得到谐振频率为3.1GHz。
此时来计算耦合系数。



浙公网安备 33010602011771号