volterra级数
沃尔泰拉级数:历史
- 1887 年,Vito Volterra :“Volterra 系列”作为非线性行为
- 1942 年,Norbert Wiener:将 Volterra 系列应用于非线性电路分析
- 1957 年,J. F. Barrett:系统地应用了 Volterra级数到非线性系统; 后来,D.A. 乔治:使用多维拉普拉斯变换研究沃尔泰拉
- 如今:广泛用于计算晶体管放大器和系统中的失真
什么时候可以应用沃尔泰拉级数?
可以计算带记忆的弱非线性时不变(NLTI)系统的高频。弱非线性低失真项影响假设:
- 输入激励“小”:使用多项式非线性建模
- 当输入较小时,第一项占主导地位
沃尔泰拉级数:基本定义
1.线性无记忆系统:

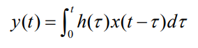
具有记忆功能的线性、离散、因果和时不变系统
(通过将过去输入的所有影响与适当的“权重”相加来描述):


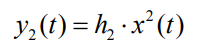
2.带有2阶非线性的系统:
无记忆:

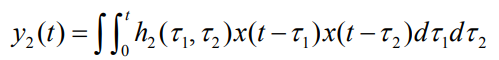
带有记忆的:


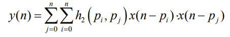
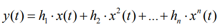
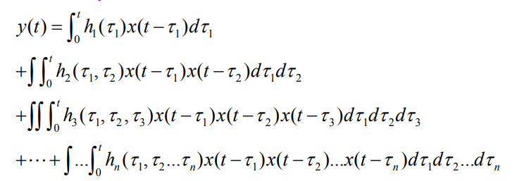
3.带有n阶非线性的系统:
无记忆:

带有记忆的:

Volterra Series vs. Taylor Series
泰勒级数,无记忆:

沃尔泰拉级数,有记忆:


为volterra 核。
频域volterra核


浙公网安备 33010602011771号