样本数据的初步分析方法
一、数值分析
初步描述样本的分布:顺序统计量 分位数 均值 中位数 样本方差
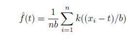
近似密度函数:

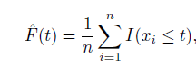
近似累积分布函数:

对于多个变量,通过协方差矩阵、相关系数矩阵反映变量之间的相关性
二、图形初步分析
直方图——密度图,盒形图
QQ图:反映两个变量之间的分布相似程度,变量和某一个分布之间的契合程度,越接近一条斜率为1的直线,越相似。可以用来初步检验样本数据是否满足某个分布。
三、数据变换
一般情况下,尽量不要盲目对原数据进行变换(容易丧失其原本的数据内部信息)。
某些特殊情形下,例如若数据偏度过大从而使得不利于后续分析,可以适当进行数据转换。
例如:使用线性回归时,残差可能不符合正态分布从而不满足建模条件,则可以对响应变量Y进行变换,把数据变成正态的,一定程度上减少残差和预测变量的相关性。
Box-Cox变换:

lambda的取值选择:
lambda<1时,取值较小的部分被拉伸,取值较大的部分被压缩,lambda>1时则相反。
所以应当首先判断数据的偏斜情况,如果是左偏,则可以去lambda=0 or <1,若是右偏,可以取lambda>1。

浙公网安备 33010602011771号