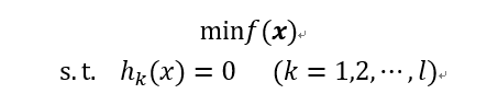
对于等式约束优化问题的求解,只需要通过一个拉格朗日系数把等式约束和目标函数组合成为一个新的无约束条件的函数

 

再求出这个函数的极值就得到所求优化问题的解,这个合成的函数就叫拉格朗日函数,这种方法就叫拉格朗日乘子法。

 

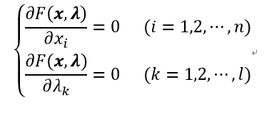
将函数对各个变量求偏导并令结果为0,建立等式求出结果。

 

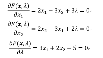
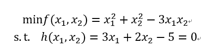
例:

求解:

改造的目标函数是,则:

 

 

 





还有拉格朗日乘子在不等式优化问题中的求解,下次再更新了