剑指offer31~40题
31. 栈的压入、弹出序列
题目描述
输入两个整数序列,第一个序列表示栈的压入顺序,请判断第二个序列是否为该栈的弹出顺序。假设压入栈的所有数字均不相等。
例如序列 1,2,3,4,5 是某栈的压入顺序,序列 4,5,3,2,1 是该压栈序列对应的一个弹出序列,但 4,3,5,1,2 就不可能是该压栈序列的弹出序列。

32.1 从上往下打印二叉树
题目描述
从上往下打印出二叉树的每个节点,同层节点从左至右打印。
例如,以下二叉树层次遍历的结果为:1,2,3,4,5,6,7

解题思路
使用队列来进行层次遍历。
不需要使用两个队列分别存储当前层的节点和下一层的节点,因为在开始遍历一层的节点时,当前队列中的节点数就是当前层的节点数,只要控制遍历这么多节点数,就能保证这次遍历的都是当前层的节点。

32.2 把二叉树打印成多行
题目描述
从上到下按层打印二叉树,同一层结点从左至右输出。每一层输出一行。
解释:跟上一题不一样的地方就是每一层的节点要分行打印出来,而不是只用一行就打印整个二叉树的所有节点

32.3 按之字形顺序打印二叉树
题目描述
请实现一个函数按照“之”字形打印二叉树,即第一行按照从左到右的顺序打印,第二层按照从右至左的顺序打印,第三行按照从左到右的顺序打印,其他行以此类推。(解释:就是类似于“一去一来,再一去一来,不停的来来回回”)
解释:跟前两题的解法是一样的,唯一不同的地方就是加了一个是否顺序,逆序的标识reverse

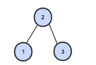
33. 二叉搜索树的后序遍历序列
题目描述
输入一个整数数组,判断该数组是不是某二叉搜索树的后序遍历的结果。假设输入的数组的任意两个数字都互不相同。
例如,下图是后序遍历序列 1,3,2 所对应的二叉搜索树


解释:上面的for循环就是验证右子树的所有节点值都大于根节点,为什么不验证左子树呢?很简单,因为我们是从整个后续遍历结果从左到右挨个找比根节点大的节点作为分界线,右边全是右子树的节点,所以啊,我们从寻找分界线的过程中就已经保证了左子树的结点肯定小于根节点的值
34. 二叉树中和为某一值的路径
题目描述
输入一颗二叉树和一个整数,打印出二叉树中结点值的和为输入整数的所有路径。路径定义为从树的根结点开始往下一直到叶结点所经过的结点形成一条路径。
下图的二叉树有两条和为 22 的路径:10, 5, 7 和 10, 12


解释:path.remove(path.size()-1)的作用是因为递归路径有很多条,所以path也要不断地刷新
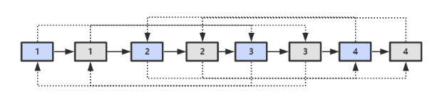
35. 复杂链表的复制
题目描述
输入一个复杂链表(每个节点中有节点值,以及两个指针,一个指向下一个节点,另一个特殊指针指向任意一个节点),返回结果为复制后复杂链表的 head。(解释:一定是要返回原链表复制之后的复制品的head,而不是原链表的head)

假设原链表是下图这样

解题思路
第一步,在每个节点的后面插入复制的节点。

第二步,对复制节点的 random 链接进行赋值。

第三步,拆分。


36. 二叉搜索树与双向链表
题目描述
输入一棵二叉搜索树,将该二叉搜索树转换成一个排序的双向链表。要求不能创建任何新的结点,只能调整树中结点指针的指向。

小疑问:笔者对这道题还是有些疑问?
详情请参考
https://github.com/CyC2018/CS-Notes/blob/master/notes/剑指 offer 题解.md#36-二叉搜索树与双向链表
37. 序列化二叉树
题目描述
请实现两个函数,分别用来序列化和反序列化二叉树。
小疑问:什么是序列化,什么是反序列化呢?
38. 字符串的排列
题目描述
输入一个字符串,按字典序打印出该字符串中字符的所有排列。例如输入字符串 abc,则打印出由字符 a, b, c 所能排列出来的所有字符串 abc, acb, bac, bca, cab 和 cba。

浙公网安备 33010602011771号