高数——无穷小的比较与等价无穷小


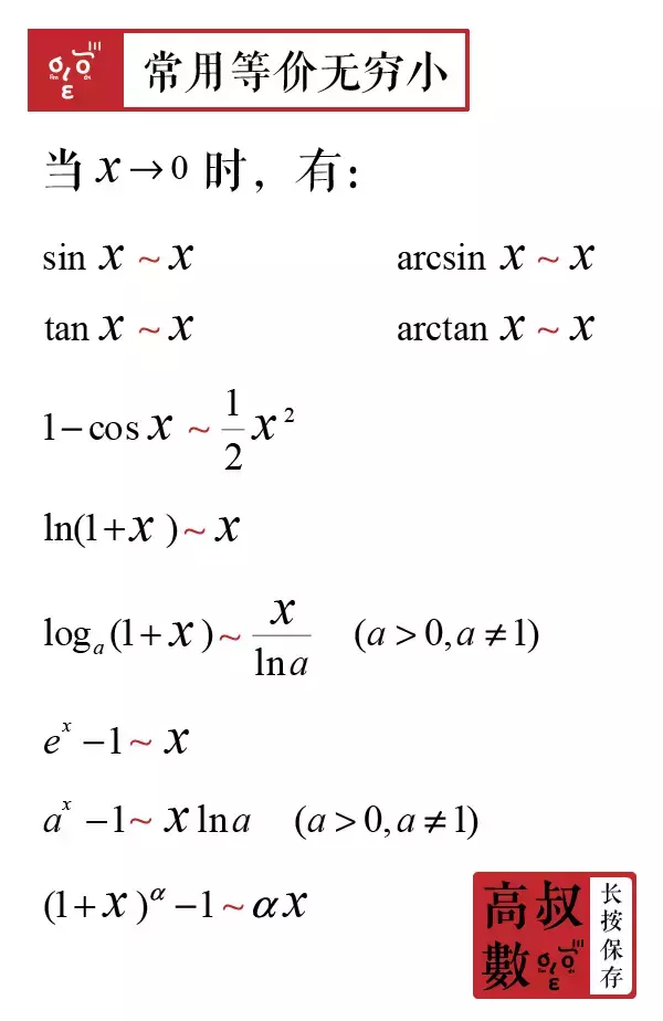
注意:我们比较的必须都是无穷小量,别看这句话是废话,很多时候大家都会忘记最基本最简单的前提!这里的x不一定是x,也可以是其他函数,可以用三角来代替。








本文转载自:https://www.jianshu.com/p/5d840637effd


注意:我们比较的必须都是无穷小量,别看这句话是废话,很多时候大家都会忘记最基本最简单的前提!这里的x不一定是x,也可以是其他函数,可以用三角来代替。








本文转载自:https://www.jianshu.com/p/5d840637effd