怎样记住“和差化积 & 积化和差”公式?
和差化积&积化和差,这两组三角公式因为用的比较少,形式也较为复杂,一直不太熟悉,所以今天希望用中学阶段熟悉的三角展开公式来推导,帮助记忆理解。
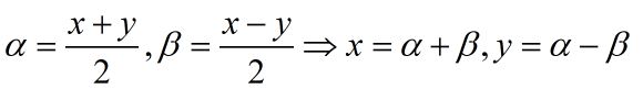
为推导和差化积,将变量x、y都改写,如(1)式所示:

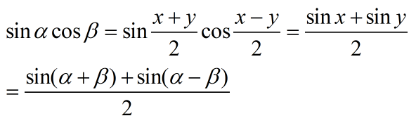
推导和差化积:从两项三角函数之和出发,将改写好的变量带入后三角展开,可以看到有一项乘积能被抵消掉,便可完成推导,如(2)式所示:

PS:和差化积仅适用于同名三角函数相加相减(共四组:sin+sin;sin-sin;cos+cos;cos-cos)其他推导也是类似的展开即可;
为推导积化和差,同样改写变量:

推导积化和差:比和差化积稍微复杂一点,从乘积出发,为简化运算,在(2)式的基础上继续推导即可:

PS:其他的几个和式也可以类似推导,积化和差只需要记忆三组:cos×cos、sin×sin、sin×cos(cos×sin 可以调换相乘的顺序后,当作sin×cos来推导)积化和差在和差化积的基础上来推导比较简单,容易理解,其他证明方法暂不在讨论。
本文转载自:https://www.jianshu.com/p/77fd84b86160

浙公网安备 33010602011771号