高数——洛必达法则的易错点与综合应用

上面的做法是正确的做法,接下来示范一下错误的做法
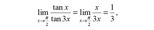
辨析:很多同学都容易犯这样一个错误,上来就想用等价无穷小代换做:(说明:要知道tan(3π/2)可不是趋于0,而是趋于负无穷大)

这必然是不对的,大家都容易只记方法,不计前提,使用等价无穷小代换,前提必须这得是无穷小才能代换啊,lim下面的字小你也不能把人家忽略不看啊!

上面的做法是正确的
接下来我示范一个错误的做法
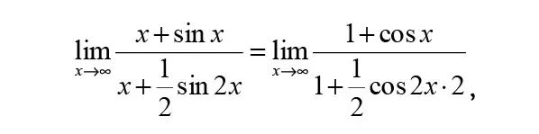
辨析:这个题很多同学一上来就使用洛必达法则:

然后惊喜地发现,这个我知道,cosx震荡,极限不存在,机智如我,哇哈哈哈!然而你这是机智地又把前提忘掉了,洛必达法则的前提是得出的结果必须等于一个数或者是∞时才可以使用,所以这个题并不能使用洛必达法则直接计算。

上面的做法是正确的,接下来我来示范一下错误的做法
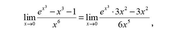
辨析:这个题大家也是很容易上来就使用洛必达法则:

原则性问题倒是没用,但是洛必达法则是方便计算才使用的,这个题直接使用洛必达后变得更加复杂了,心太累了!所以在能化简的时候一定要先化简,在变量很复杂时一定要记得灵活使用变量代换将式子化简,事半功倍!

上面的做法是正确的,接下来我来示范一下错误的做法
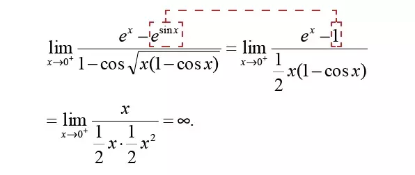
辨析:这个题最容易犯错的地方是有同学会这样做:

这个错误在于第一步那里不可以直接去定值,因为去定值和等价无穷小代换必须出现在乘积中,而不能在加和中直接使用,切记!
本文转载自:https://www.jianshu.com/p/78dbc1bedf99

浙公网安备 33010602011771号