会员
周边
新闻
博问
闪存
众包
赞助商
Chat2DB
所有博客
当前博客
我的博客
我的园子
账号设置
会员中心
简洁模式
...
退出登录
注册
登录
抬头不见星空
低头遇见了你
博客园
首页
新随笔
联系
订阅
管理
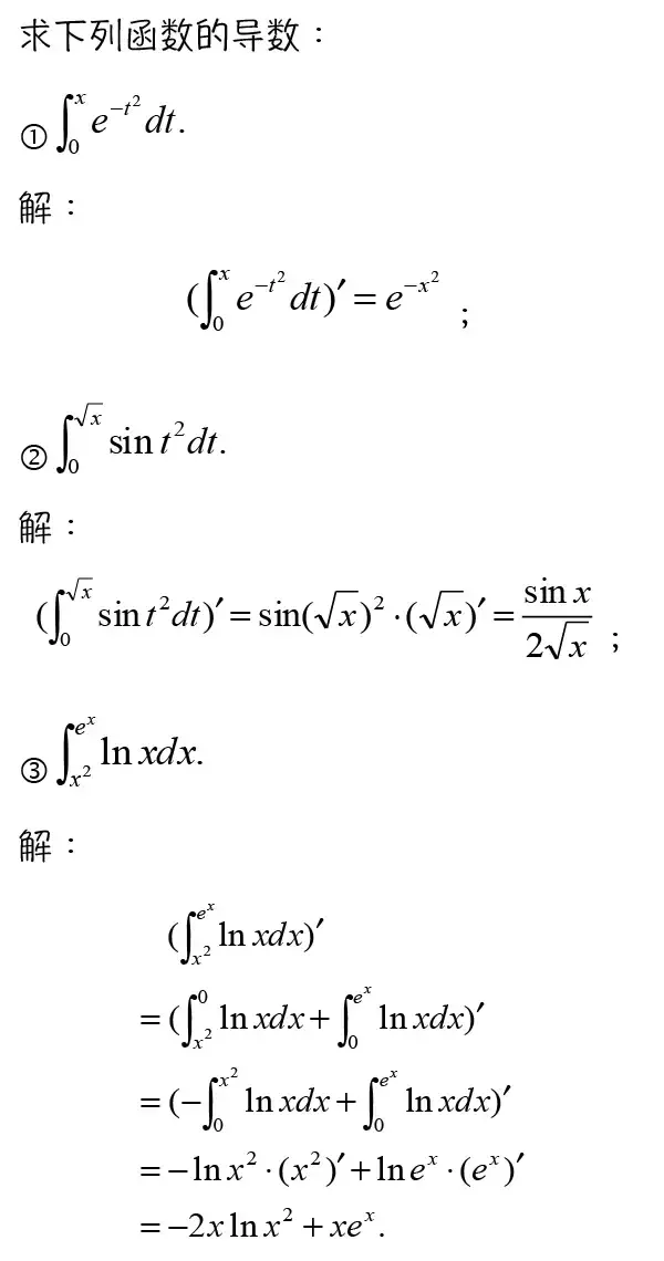
高数——积分上限函数
本文转载自;https://www.jianshu.com/p/45e0c2b98aad
posted @
2019-10-21 10:45
抬头不见星空
阅读(
222
) 评论(
0
)
收藏
举报
刷新页面
返回顶部
公告