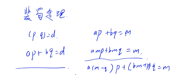
裴蜀定理
今天学一个新的定理:裴蜀定理

就是说(x,y)的最大公约数如果大于1,也就是不互质,那xy的任意组合数一定是这个最大公约数的倍数


那就直接看个题??蓝桥的原题,我个人真的不太喜欢出这种结论题...
https://www.acwing.com/problem/content/1207/
小明开了一家糖果店。
他别出心裁:把水果糖包成4颗一包和7颗一包的两种。
糖果不能拆包卖。
小朋友来买糖的时候,他就用这两种包装来组合。
当然有些糖果数目是无法组合出来的,比如要买 10 颗糖。
你可以用计算机测试一下,在这种包装情况下,最大不能买到的数量是17。
大于17的任何数字都可以用4和7组合出来。
本题的要求就是在已知两个包装的数量时,求最大不能组合出的数字。
输入格式
两个正整数 n,mn,m,表示每种包装中糖的颗数。
输出格式
一个正整数,表示最大不能买到的糖数。
数据范围
2≤n,m≤10002≤n,m≤1000,
保证数据一定有解。
输入样例:
4 7
输出样例:
17
就直接a*b-a-b。。。就好了吧
其实还有暴力,dfs。dp的做法
浙公网安备 33010602011771号