RM -R:等价去除模型中的残差连接
前言
ResNet是由一个个残差块堆叠而成的,每个残差块的数学表达式为:y=f(x)+x,其中f(x)叫残差,x叫残差连接(residual connection),或者直连通道(shortcut connection)。ResNet相较于VGG更受欢迎的一个关键原因,在于其使用的残差连接,能够将输入特征保留下来,在训练时只需要学习输出特征与输入特征的差值f(x),即残差。残差连接使训练非常深的网络,成为了可能。然而,残差连接占用了ResNet50模型40%的显存[1],拖慢了模型的推理速度。因此,如何获得没有残差连接的“直筒型”模型 ,成为一个值得关注的课题。通常为了获得更好的表达能力,f(x)会使用非线性函数。然而Shang[4]认为非线性模块是限制直筒型模型的深度的罪魁祸首,并通过提出一种对称的非线性模块,能够训练198层的直筒型模型,不过在CIFAR10数据集上只有85%的准确率;DiracNet[3]在卷积层加上一个Dirac初始化的值,用于保留输入特征,从而只需要学习残差部分的值。RepVGG[2]进一步改进这一方法,训练阶段显式地使用残差连接,推理阶段使用“重参数化”方法,将残差连接合并到残差中,从而得到直筒型的模型。并首次在ImageNet数据集上,获得了超过80%准确率。然而我们发现,重参数化只能用于去除线性模块两端的残差连接,非线性单元必须放在残差连接外面,这限制了模型训练的深度。本文我们将提出RM操作,能够等价的去除ResNet/MobileNetV2等模型的残差连接,可以轻易的得到1000层VGG、用在剪枝操作前,大幅提升剪枝效果、提升RepVGG在深层表现。文章与代码均已开源:
文章:https://arxiv.org/abs/2111.00687
代码:https://github.com/fxmeng/RMNet
重参数化的局限性
如下图a)是ResNet中的一个残差块,其中一个ReLU位于残差连接内部,另一个位于外部;而下图b)所示为RepVGG的连续两个残差块,ReLU均位于残差连接外部。

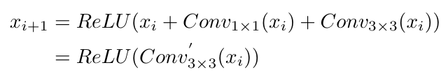
RepVGG这样设计是因为,重参数化技术并不能等价去除ResNet的中非线性操作两端的残差连接,而是利用乘法分配律,去除线性操作两端的残差连接:

Ensemble[5]把ResNet看作 2n个模型的ensemble。然而RepVGG的每个残差块很容易就能被一个函数表达。残差块越多,两者表达能力的差距越大。此外,Shattered Gradients[6]认为,非线性函数是导致模型难以训练的原因,RepVGG的ReLU全部位于残差连接外面,梯度传播最多需要经过的ReLU数是ResNet两倍。
为了验证这一观点,在下图中对比RepVGG的效果,发现随着深度增加,RepVGG准确率逐渐下降。

从以上分析可知,相比ResNet,重参数化方法更像是VGG的升级版,用残差连接提升浅层模型的效果。因此一种能够等价去除ResNet中残差连接的方法,就显得很有价值。
RM 操作
RM Operation的发音和功能与remove相同:等价去除(remove)模型中的残差连接。同时RM是Reserving和Merging的缩写,接下来将详细介绍Reserving和Merging操作。

如上图a)所示,训练时使用正常的ResNet,残差连接将输入特征传递到残差的输出特征处(Reserving),将二者相加(Merging)。如图b)所示,为了在推理阶段去除残差连接,需要扩张其中每一层的通道数,使其能够允许输入特征通过且不改变其值(Reserving),然后在最后一层将其合并(Merging)。
Reserving:
根据Conv的性质:“每个输出通道功能相互独立”,我们可以在原Conv层基础上,增加一些新的输出通道。这些通道只在需要保留的通道处初始化为1,其余值均初始化为0(dirac初始化)。输入特征通过这样的通道,值不会改变。
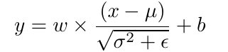
BN层表达式为:
,当,
时,y=x,此时BN层也可以不改变输入特征。
由于每个残差块最后都有一个ReLU,每个残差块的输入和输出都为非负值。这一非负的特征,通过卷积和BN时都没有改变其值,ReLU也不会改变非负输入的值。
Merging:
特征被reserve到最后一层,是为了将其在最后一层Merging。根据Conv的性质:“所有的输入通道的乘积会相加到一起”,我们只需要在原Conv层的基础上,增加一些dirac初始化的输入通道,这样输入通道特征会被加到原Conv层的输出上。
从上面描述的过程可以看出,RM操作去除残差连接需要引入额外的通道。在下表中我们对比ResNet,RepVGG,和RMNet三种方法,其中RepVGG能够提升推理速度,付出的代价是训练开销大,准确率低。RMNet的训练开销和准确率都和ResNet一样,但是推理速度慢。我们往往更关注准确率和推理速度,因此我们提出接下来几种方法,最大化RM操作的优点,规避其缺点。

利用RM操作将MobileNetV2变为V1

MobileNetV2有一些特性,是天然适合使用RM操作的。例如:1)两头窄,中间宽的可分离1*1卷积,只需要增加1/9T的Dirac初始化通道,就能Reserving和Merging输入特征图。其中T=6,为中间通道数与输入/输出通道的比例。2)中间一层为depthwise卷积,每个滤波器仅用9个参数提取一个输入通道的特征。只需要1/G的Driac初始化通道来Reserving输入特征图。其中G=C,为卷积分组数,Depthwise卷积的分组数等于通道数。3)将MobileNetV2的残差连接去除后,相邻残差块(如上图中虚线框所示)的输出通道和输入通道为依次为[Conv,BN,Conv,BN]。中间没有非线性操作,因此可以其合并为一个[Conv,BN]。正是这一性质,能够将MobileNetV2变为MobileNetV1。4)由于相邻两个卷积层可以合并,可以任意增大训练时输入输出通道,在Fuse操作后,可以得到同样的结构。
使用带残差、可以免费扩张通道、准确率高的MobileNetV2进行训练,再使用RM、Fuse操作将其等价变为速度更快的MobileNetV1。实验效果如下:

RM操作:剪枝的催化剂
残差连接将输入特征与输出特征相加到一起,因此要求剪枝前后,相邻残差块输入输出通道数量都必须保持一致。通常有三种处理残差连接的方式:1)不裁剪残差连接的输入输出通道,只裁剪中间的通道,如[7,8,9,10]。虽然避免了问题发生,但这种方式无疑存在大量无效通道没有被裁剪。2)将相邻的所有残差块的输入输出通道以相同的方式进行裁剪,如[11,12,13,14,15]。这种方式要求相邻所有残差块在相同位置同时为无效才能裁剪,这显然是一个较高的要求。有时不得不裁剪掉一些有用的通道。3)使用索引的方式,允许输入输出通道数量不等,如[16,17]。两个维度不同的矩阵,可以通过索引加到一起,因此剪枝可以不受残差连接的限制。但是带索引的模型结构不利于在通用硬件上使用,如ShuffleNetV2[18]指出,碎片化操作不利于高效的并行推理,再如torch.jit和TensorRT这些常用库不支持带索引的模型结构

如上图所示,我们可以用RM操作将模型的残差去除,然后就可以随心所欲的进行剪枝了!

使用slim[16]方法对ResNet18进行剪枝(红色)对比先RM掉模型残差,再进行剪枝(绿色)。可以看出:(左图)在准确率相同时,RM操作使裁剪后的模型速度更快。(左右图)即使剪枝率接近,RMNet速度却快很多,这也归功于RMNet直筒型的结构更有利于推理加速。裁剪后的RMNet18,整个模型没有任何分支,每一层的输入输出通道都可以为任意数量。

同样,先使用RM操作将MobileNetV2变为MobileNetV1,然后使用AMC剪枝进行裁剪。使MobileNetV2在1.4倍真实硬件加速的情况下,比ImageNet的baseline准确率高出1.42%,比1.3倍加速的AMC剪枝高出2.27%!

在多种硬件环境下测试裁剪后的模型速度,RM操作均能显著提升剪枝后的模型速度。

利用RM操作提升深层RepVGG的表现

如图所示,RM操作可以将一个带残差连接的网络变换为一个RepVGG,然后使用重参数化技术将其变化为VGG样式的网络。其中通过残差连接将输入通道保留到输出通道的比例叫做reserve ratio,当reserve ratio等于0时,模型就和RepVGG完全一致了。当reserve ratio增大时,会将RepVGG的一部分通道用于保留输入通道特征。

如上图所示分别为RepVGG在CIFAR10/100、ImageNet数据集上,随着深度增加的准确率。可以看出由于在训练过程中引入了跟ResNet一样,跨越非线性层的残差连接,RM操作能够使RepVGG在深层时表现更好。
总结
本文提出名为RM的操作,可以将ResNet等价变为VGG,将MobileNetV2变为V1。尽管引入更多参数,但是能够帮助剪枝得到更快的模型,帮助RepVGG训练的更深,相信未来还能有更多有意思的应用场景。
参考文献
[1]. Residual distillation: Towards portable deep neural networks without shortcuts
[2]. Repvgg: Making vgg-style convnets great again
[3]. Diracnets: Training very deep neural networks without skip-connections
[4]. Understanding and improving convolutional neural networks via concatenated rectified linear units
[5]. Residual Networks Behave Like Ensembles of Relatively Shallow Networks
[6]. The Shattered Gradients Problem: If resnets are the answer, then what is the question? [7]. ThiNet: A Filter Level Pruning Method for Deep Neural NetworkCompression
[8]. Data-Driven Sparse Structure Selection for Deep Neural Networks
[9]. Discrimination-awareChannel Pruning for Deep Neural Networks
[10]. Neuron Merging:Compensating for Pruned Neurons
[11]. Pruning Filters forEfficient ConvNets
[12]. Gate Decorator: GlobalFilter Pruning Method for Accelerating Deep Convolutional Neural Networks
[13]. Neural Network Pruning with Residual-Connections andLimited-Data
[14]. GroupFisher Pruning for Practical Network Compression
[15]. AMC: AutoML for Model Compression and Acceleration on Mobile Devices
[16]. Learning Efficient Convolutional Networks through Network Slimming
[17]. Channel Pruning for Accelerating Very Deep Neural Networks
[18]. ShuffleNet V2: PracticalGuidelines for Efficient CNN Architecture Design
浙公网安备 33010602011771号