Fibonacci数列(矩阵乘法快速幂)
题目描述:
定义:f0=f1=1, fn=fn-1+fn-2(n>=2)。{fi}称为Fibonacci数列。
输入n,求fn mod q。其中1<=q<=30000。
输入描述:
第一行一个数T(1<=T<=10000)。
以下T行,每行两个数,n,q(n<=109, 1<=q<=30000)
输出描述:
文件包含T行,每行对应一个答案。
样例输入:
3
6 2
7 3
7 11
样例输出:
1
0
10
数据范围及提示:
1<=T<=10000
n<=109, 1<=q<=30000
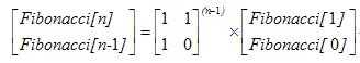
思路:
f(n) 是第n项的值。
f(1)=1;f(2)=1;
f(n)=f(n-1)+(n-2)
问题的求解就变成的问题,而求幂可使用快速幂。
#include<iostream>
using namespace std;
int t,n,mod,ans[3][3],a[3][3];
void mul(int s1[3][3],int s2[3][3])
{
int tmp[3][3]={0};
for(int i=1;i<=2;i++)
for(int j=1;j<=2;j++)
for(int k=1;k<=2;k++)
tmp[i][j]=(tmp[i][j]+s1[i][k]*s2[k][j]%mod)%mod;
for(int i=1;i<=2;i++)
for(int j=1;j<=2;j++)
s1[i][j]=tmp[i][j];
}
void quick_power(int n)
{
while(n)
{
if(n&1)
mul(ans,a);
mul(a,a);
n>>=1;
}
}
int main()
{
cin>>t;
while(t--)
{
a[1][1]=1,a[1][2]=1;
a[2][1]=1,a[2][2]=0;
ans[1][1]=1,ans[1][2]=1;
ans[2][1]=1,ans[2][2]=0;
cin>>n>>mod;
quick_power(n-1);
cout<<ans[1][1]%mod<<endl;
}
}

浙公网安备 33010602011771号