图像生成-Normalizing Flows(NFs)归一化流-07
参考
https://zhuanlan.zhihu.com/p/685921518
Normalizing Flows(NFs)是一种可逆的概率密度变换方法,它的核心思想是通过一系列可逆的变换函数来逐步将一个简单分布(通常是高斯分布)转换成一个复杂的目标分布,
这个过程可以被看作是一连串的变量替换的迭代过程,每次替换都遵循概率密度函数的变量变换原则。
通过这种方式,Normalizing Flows能够精确地计算出变换后的分布的概率密度,从而实现从简单分布到复杂分布的精确映射。
核心思想:橡皮泥的比喻
要理解归一化流,我们可以先不用看公式,而是想象一个简单的过程:
初始材料:你手里有一块形状非常简单、质地均匀的橡皮泥,比如一个标准立方体。这块橡皮泥,就代表一个我们非常了解的、简单的基础概率分布 \(π₀(z₀)\),比如标准高斯分布(钟形曲线)。
变换过程:现在,你通过一系列可逆的、精巧的“揉、拉、捏、搓”的动作,把这个简单的立方体变成了一个非常复杂的形状,比如一只惟妙惟肖的“兔子”。这一系列可逆的变换动作,就是归一化流的核心 \(f₁, f₂, ..., fₖ\)。
最终成品:这只复杂的“兔子”,就代表了我们想要学习的目标概率分布 \(p(x)\),比如所有“猫”的图片的分布。
归一化流的核心思想就是:通过一连串可逆的、可计算的函数变换 \(f\),将一个简单的基础分布 \(π₀\) 变成一个复杂的目标分布 \(p(x)\)。
它的“超能力”在于,由于每一步变换都是可逆且精确的,我们能够精确地计算出任何一个数据点 x 的概率密度 p(x),这是很多其他生成模型(如GAN)做不到的。
公式

是原始的简单分布(例如标准高斯分布)
Normalizing Flows希望通过一系列可逆变换
将其转换成目标分布
,这些变换定义了从 \(z_0\) 到 \(x\) 的映射,并且每一步变换 \(f_i\) 都有其逆变换
。那么,变换过程可以表示为:

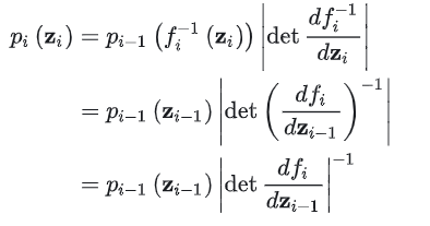
对于其中第 \(i\) 步,有:

根据率密度函数的变量变换关系可得:

其对数似然为:

给定这样一连串的概率密度函数和变换关系,可以逐步展开直至追溯到初始分布,可得:

当这一系列变换函数 \(f_i\) 可逆,且雅可比矩阵易于计算,模型训练时,优化目标为负对数似然:

目标是让我们模型所描述的概率分布 \(p(x)\),尽可能地贴近真实数据的分布。换句话说,对于一个从真实数据集中拿出的样本 \(x\)(比如一张真实的猫图),我们希望我们的模型认为“这张图很真实”,也就是赋予它一个尽可能高的概率 \(p(x)\)。
这个原则,在统计学上称为最大似然估计(Maximum Likelihood Estimation, MLE)。
\(log p(x)\): 这就是我们上面费了半天劲算出来的、我们的模型赋予真实数据点 x 的对数概率。我们希望这个值越大越好。
\(Σ log p(x)\): 我们把数据集中所有样本的对数概率都加起来。我们希望这个总和越大越好。
最关键的负号 \(-\),在深度学习中,我们使用的所有优化算法(如梯度下降)都是朝着最小化(Minimize)损失函数的方向前进的。
那么,如何把一个“最大化问题”变成一个“最小化问题”呢?
非常简单,在前面加一个负号。
最大化 \(A\) 等价于 最小化 \(-A\)

浙公网安备 33010602011771号