Leetcode[141] 环形链表
题目描述
给定一个链表,判断链表中是否有环。
为了表示给定链表中的环,我们使用整数 pos 来表示链表尾连接到链表中的位置(索引从 0 开始)。 如果 pos 是 -1,则在该链表中没有环。
示例 1:
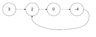
输入:head = [3,2,0,-4], pos = 1
输出:true
解释:链表中有一个环,其尾部连接到第二个节点。
示例 2:
输入:head = [1,2], pos = 0
输出:true
解释:链表中有一个环,其尾部连接到第一个节点。
示例 3:
输入:head = [1], pos = -1
输出:false
解释:链表中没有环。
题解思路
双指针法:从头节点开始,建立两个快慢指针 quick 和 slow,快指针每次走两步 quick = quick -> next -> next,慢指针每次走一步 slow = slow -> next,同时遍历链表,当快慢指针相遇时,说明该链表有环,否则说明链表中无环。
注意:快慢指针遍历链表时,终止条件为:quick != NULL && quick -> next != NULL
AC代码
/**
 * Definition for singly-linked list.
 * struct ListNode {
 *     int val;
 *     struct ListNode *next;
 * };
 */
bool hasCycle(struct ListNode *head) {
    if(head == NULL || head -> next == NULL) {
        return false;
    }
    struct ListNode *quick = head -> next -> next;
    struct ListNode *slow = head -> next;
    while(quick != NULL && quick -> next != NULL) {
        if(quick == slow) {
            return true;
        }
        quick = quick -> next -> next;
        slow = slow -> next;
    }
    return false;
}
    所有博客均在CSDN首发   Caso_卡索   https://blog.csdn.net/xiaoma_2018
 
                    
                
 
                
            
         浙公网安备 33010602011771号
浙公网安备 33010602011771号