读书笔记(CSAPP)01
第2章
2.1 信息存储
既然现代计算机使用二进制, 那么整数, 小数(计算机叫做浮点数), 日常书写的文字该怎么表示呢, 编码吗
16进制方便阅读和书写二进制数,
char类型只不过是因它用于编码单个字符而得名, 其本质也就是一个字节的数字而已,
多于一个字节的数据类型, 有大端法和小端法的字节顺序, 小端法就是低位字节在低地址(在前), 而高位字节在后(高地址), 这与日常书写恰恰相反,
字符串结束标志是null, 其值为0, 字符为'\0'
2.2 整数表示







注意: C语言整数常量定义: An integer constant begins with a digit, but has no period or exponent part. It may have a prefix that specifies its base and a suffix that specifies its type.
有道翻译为: 整数常数以数字开头,但没有周期或指数部分。它可能有一个指定其基的前缀和一个指定其类型的后缀。
所以-2147483648写成-2147483647-1的形式, 负号是一元运算符, 也就是补码求反的意义吧, 其实也不是特别明白
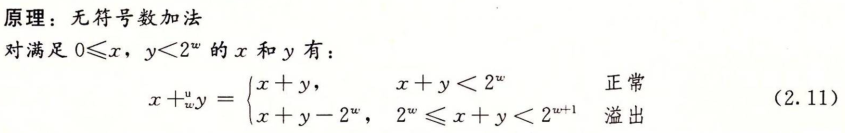
2.3 整数运算







没有继续看下去了, 看过了, 现在温习而已
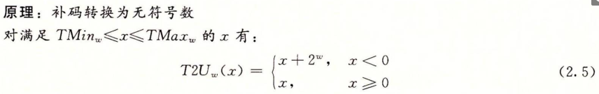
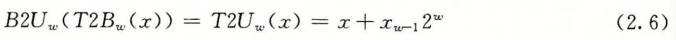
总结: 补码和无符号数有相同的位级表示, 补码运算时利用无符号数的运算结果, 转化成补码数值

浙公网安备 33010602011771号