98. 验证二叉搜索树
给你一个二叉树的根节点 root ,判断其是否是一个有效的二叉搜索树。
有效 二叉搜索树定义如下:
节点的左子树只包含 小于 当前节点的数。
节点的右子树只包含 大于 当前节点的数。
所有左子树和右子树自身必须也是二叉搜索树。
示例 1:

输入:root = [2,1,3]
输出:true
示例 2:

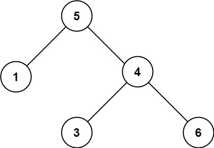
输入:root = [5,1,4,null,null,3,6]
输出:false
解释:根节点的值是 5 ,但是右子节点的值是 4 。
递归
class Solution {
public boolean isValidBST(TreeNode root) {
return isValidBST(root, Long.MIN_VALUE, Long.MAX_VALUE);
}
public boolean isValidBST(TreeNode node, long lower, long upper) {
if (node == null) return true;
if (node.val <= lower || node.val >= upper) {
return false;
}
return isValidBST(node.left, lower, node.val) && isValidBST(node.right, node.val, upper);
}
}
中序遍历:如果某个节点的 value 小于等于 前一个,那么就不是二叉搜索树
class Solution {
public boolean isValidBST(TreeNode root) {
Deque<TreeNode> stack = new LinkedList<TreeNode>();
long preValue = Long.MIN_VALUE;
while (root != null || !stack.isEmpty()) {
while (root != null) {
stack.push(root);
root = root.left;
}
root = stack.pop();
if (root.val <= preValue) {
return false;
}
preValue = root.val;
root = root.right;
}
return true;
}
}
浙公网安备 33010602011771号