543. 二叉树的直径
给你一棵二叉树的根节点,返回该树的 直径 。
二叉树的 直径 是指树中任意两个节点之间最长路径的 长度 。这条路径可能经过也可能不经过根节点 root 。
两节点之间路径的 长度 由它们之间边数表示。
示例 1:

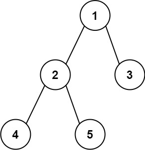
输入:root = [1,2,3,4,5]
输出:3
解释:3 ,取路径 [4,2,1,3] 或 [5,2,1,3] 的长度。
示例 2:
输入:root = [1,2]
输出:1
递归
class Solution {
int ans;
public int diameterOfBinaryTree(TreeNode root) {
ans = 1;
depth(root);
return ans - 1;
}
public int depth(TreeNode node) {
if (node == null) return 0;
int L = depth(node.left);
int R = depth(node.right);
ans = Math.max(ans, L+R+1);
return Math.max(L, R) + 1;
}
}
浙公网安备 33010602011771号