101. 对称二叉树
给你一个二叉树的根节点 root , 检查它是否轴对称。
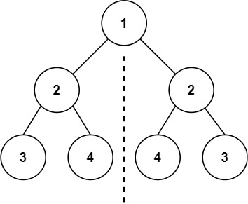
示例 1:

输入:root = [1,2,2,3,4,4,3]
输出:true
示例 2:

输入:root = [1,2,2,null,3,null,3]
输出:false
递归
class Solution {
public boolean isSymmetric(TreeNode root) {
return check(root.left, root.right);
}
public boolean check(TreeNode p, TreeNode q) {
if (p == null && q == null) {
return true;
}
if (p == null || q == null) {
return false;
}
return p.val == q.val && check(p.left, q.right) && check(p.right, q.left);
}
}
层次遍历:队列里面相邻的两个节点是相等的,加入队列时需要对称加入
class Solution {
public boolean isSymmetric(TreeNode root) {
return check(root, root);
}
public boolean check(TreeNode u, TreeNode v) {
Queue<TreeNode> queue = new LinkedList<TreeNode>();
queue.offer(u);
queue.offer(v);
while (!queue.isEmpty()) {
u = queue.poll();
v = queue.poll();
if (u == null && v == null) {
continue;
}
if (u == null || v == null || u.val != v.val) {
return false;
}
queue.offer(u.left);
queue.offer(v.right);
queue.offer(u.right);
queue.offer(v.left);
}
return true;
}
}
浙公网安备 33010602011771号